Sicherer Betrieb

Transientenschutz für nicht­isolierte DC/DC-Power-Module

26. Juni 2023, 11:39 Uhr | Von Timur Uludag, Senior Technical Marketing Manager bei Würth Elektronik eiSos im Geschäftsbereich MagI³C Power Modules
Diesen Artikel anhören

Fortsetzung des Artikels von Teil 3

Zweite Stufe des Störfestigkeitsfilters

Die Frage ist nun, wie man die richtige Filterdämpfung abschätzen kann und wie man die besten Werte für die Filterbauteile erhält. Ausgehend von der Dämpfung lässt sich die minimale Filterdämpfung mit Gleichung 2 berechnen:

Anbieter zum Thema

zu Matchmaker+
Würth Elektronik eiSos
© Würth Elektronik eiSos

(Anstelle des Symbols A für Dämpfung wird hier das Formelzeichen G (Verstärkung) verwendet. Eine negative Verstärkung bedeutet eine Abschwächung).

Daraus ergibt sich mit den obigen Werten eine Verstärkung G von 20 · log(44 V/49,84 V) = –1,08 dB.

Gleichung 2 berücksichtigt die resultierende Klemmspannung VClamp,max der TVS-Diode während des Überspannungsereignisses und die maximale Betriebsspannung VPM_max des gewählten Wandlers. Die Aufgabe besteht darin, das Filter gemäß Bild 3 zu entwerfen, wobei der TVS-Diode ein LC-Filter angefügt wird. Der Entwickler kann, um einen entsprechenden Filterkondensator zu berechnen, den Wert der Induktivität wählen. Der Grund dafür ist, dass die Filterinduktivität in Reihe mit der Anwendung liegt und ihr Widerstand (RDC) so unerwünschte Verluste verursacht. Daher sollte die Induktivität mit dem kleinstmöglichen RDC-Wert unter Berücksichtigung des maximalen nominellen Ausgangsstroms des DC/DC-Wandlers gewählt werden. Für diesen beispielhaften Filterentwurf wurde eine WE-PD2 (744776112) mit einer Induktivität von 12 μH, einem RDC von 336 mΩ und einem Nennstrom von 2,72 A gewählt.

Der DC-Eingangswiderstand des Power-Moduls kann mit der gegebenen Eingangs- und Ausgangsspannung, dem Ausgangsstrom sowie dem Wirkungsgrad im Betrieb bestimmt werden. Trägt man diese Parameter zusammen, lässt sich für den Eingangswiderstand des DC/DC-Wandlers Gleichung 3 erstellen.

Würth Elektronik eiSos
© Würth Elektronik eiSos

Mit den eingesetzten Werten wird der Eingangswiderstand so zu
RPM = (24 V)2 / (5 V · 1 A / 0,88) = 101 Ω

Bild 3 zeigt die Ersatzschaltung, in der die TVS-Diode vereinfacht als Spannungsquelle bei Überspannungsimpulsen dargestellt ist. Der verbleibende Teil der Schaltung für das EMV-Modell besteht aus zwei LC-Filtern für Störfestigkeit (Überspannungsschutz) und Emission (EMV-Dämpfung), dem Eingangskondensator des DC/DC-Wandlers und dem Eingangswiderstand des Reglers.

Da es sich um eine Innenraumanwendung handelt und somit nur eine indirekte Überspannungs-einkopplung vorliegt, basieren die folgenden Annahmen und Berechnungen auf einem 8/20-μs-Impuls.

Zur weiteren Vereinfachung ist es möglich, Cf_E und Lf_E wegzulassen, da dieses Filter zur Unterdrückung von Störungen bei der Schaltfrequenz des DC/DC-Reglermoduls ausgelegt ist (Bild 4). Das Power-Modul schaltet typischerweise mit 520 kHz.

Um die Dämpfung G des Filters zu berechnen, ist es notwendig, die Ausgangsspannung mit der Eingangsspannung des Systems zu vergleichen (Gleichung 4).

Würth Elektronik eiSos
© Würth Elektronik eiSos

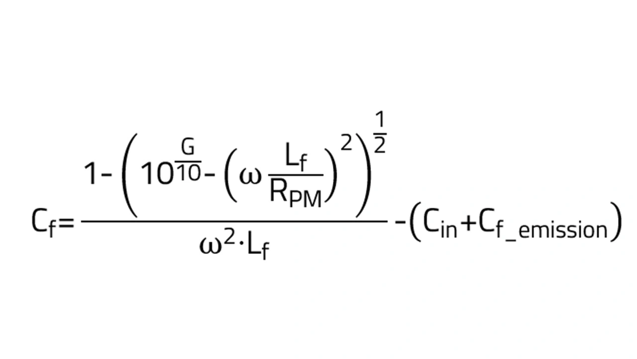
Mit dem zuvor berechneten Gleichstrom-Eingangswiderstand RPM des DC/DC-Reglers kann mit Gleichung 5 der erforderliche Kondensatorwert ermittelt werden:

Würth Elektronik eiSos
© Würth Elektronik eiSos

  1. Transientenschutz für nicht­isolierte DC/DC-Power-Module
  2. Filterkonzept
  3. Erste Stufe des Störfestigkeitsfilters
  4. Zweite Stufe des Störfestigkeitsfilters
  5. Transientenschutz und EMV

Lesen Sie mehr zum Thema


Das könnte Sie auch interessieren

Neu ausgerolltes Fortec-One-Konzept

Marken unterstützen einander

Puls steigt in Wireless-Charging ein

»Wir stehen nicht still, es geht immer vorwärts«

Recom

Neue Gehäuseversion für 5-W-DC/DC-Serie

Einstieg in Wireless Charging Markt

Puls setzt auf Intralogistik

25 Jahre inpotron Schaltnetzteile

»Ein Umsatzvolumen von 100 Millionen Euro wäre denkbar«

Betrachtungen zur Zuverlässigkeit

Zuverlässigkeit bestimmen, Lebensdauer verlängern

»Smart Grid« einmal anders

Zwanzig Jahre Einschaltstrombegrenzer als Kostenkiller

DC/DC-Stromversorgungen von Autronic

»Wir sind die Spezialisten für kompromisslose Wandler«

DC/DC-Wandler

Ultraweiter Eingangsbereich für Bahnanwendungen

Auftragseingang in der Stromversorgung

»Eine Normalisierung, keine Rezession«

Sicherheit dank Überspannungsschutz

Transientenschutz für nichtisolierte DC/DC-Power-Module

Stromversorgung für HF-Schaltungen

Schaltungen für eine besonders schnelle Lasttransientenantwort

Stromversorgung

Einer für alle Fälle

Kompakter, modularer Inverter

Standard-Bauelemente bilden die Basis

Fortec One startet am 1. Juli

Die richtigen Segel in Richtung Zukunft gesetzt

Effiziente DC-DC-Wandler

Mehr Power für KI

Bicker Elektronik

Bis zu 100 Stunden Langzeit-Backup

Zuverlässige Stromversorgung

Mehr als nur einfache AC/DC- und DC/DC-Wandlung

Gebremste Wachstumserwartungen für 2023

Auftragsbestand sorgt für Planungssicherheit

Markt&Technik-Umfrage: Stromversorgungen

MOSFETs bleiben das Sorgenkind

DC-DC-Wandler für Bahnanwendungen

Einer für alle Fälle

Stromversorgungen der besonderen Art

Optimiert für starke Laser

Störungsfreie bipolare Spannung

Spannungsversorgung mit isolierten MicroModulen

EMV-Simulation mit LTspice

Störaussendung und Störfestigkeit von DC/DC-Wandlerschaltungen

Dezentrale Automatisierung

Stromversorgung jenseits des Schaltschranks

Jetzt kostenfreie Newsletter bestellen!

Weitere Artikel zu Würth Elektronik eiSos GmbH & Co. KG

Weitere Artikel zu Filter undStörschutzbauelemente

Weitere Artikel zu DC/DC-Wandler