Durchbruch bei Magnesium-Ionen-Batterie

Festkörperbatterie ohne Lithium möglich

12. August 2022, 14:30 Uhr | Ralf Higgelke
Der neue Mg2+-Leiter besteht aus einem metallorganischen Gerüst, das Mg2+-Ionen in seinen Poren hält. Ein Gastmolekül namens Acetonitril wird in die Struktur eingebracht, um die ionische Leitfähigkeit von Mg2+ zu verbessern und dessen Wanderung durch den Festkörper zu ermöglichen.
© Masaaki Sadakiyo / Tokyo University of Science

Lithium ist selten und damit teuer, Magnesium dagegen sehr häufig und damit kostengünstig. Allerdings haben zweiwertige Magnesium-Ionen eine niedrige Leitfähigkeit in Feststoffen als Lithium-Ionen. Diese Hürde wollen Forschende aus Japan nun überwunden haben.

Diesen Artikel anhören

Ausschlaggebend für eine nachhaltige Zukunft ist die Entwicklung von hocheffizienten Energiespeichern für regenerativ gewonnene Energie. Wiederaufladbare Lithium-Ionen-Batterien (Li+) sind der Stand der Technik. Doch Lithium ist ein seltenes Metall, und die gesellschaftliche Abhängigkeit von diesem Element dürfte zu einem raschen Rückgang der Ressourcen führen und die Preise in die Höhe treiben.

Batterien auf der Basis von Magnesium-Ionen (Mg2+) haben als Alternative zu Li+ an Bedeutung gewonnen. Die Erdkruste enthält reichlich Magnesium, und Mg2+-basierte Energiespeicher bieten voraussichtlich eine hohe Energiedichte, hohe Sicherheit und niedrige Kosten. Doch der umfassende Einsatz von Mg2+ ist durch seine schlechte Leitfähigkeit in Festkörpern bei Raumtemperatur begrenzt, denn zweiwertige Kationen (2+) haben starke Wechselwirkungen mit den benachbarten Anionen in einem Festkörper, was ihre Mobilität im Material behindert.

Kürzlich will ein Forschungsteam der Tokyo University of Science (TUS) diese Hürde überwunden haben. Im Journal of the American Chemical Society berichten sie zum ersten Mal über einen Festkörperleiter aus Mg2+ mit einer superionischen Leitfähigkeit von 10‒3 S/cm, dem Grenzwert für die praktische Anwendung in Festkörperbatterien. Diese Leitfähigkeit ist die höchste, die bisher für Mg2+-Leiter berichtet wurde.

»In dieser Arbeit haben wir eine Klasse von Materialien genutzt, die als metallorganische Gerüste, kurz MOFs, bezeichnet werden«, erklärte Junior Associate Professor Masaaki Sadakiyo von der TUS, der die Studie leitete. »MOFs haben hochporöse Kristallstrukturen, die Platz für eine effiziente Migration der enthaltenen Ionen bieten. Hier haben wir zusätzlich noch Acetonitril als Gastmolekül in die Poren des MOFs eingebracht, um die Leitfähigkeit von Mg2+ stark zu beschleunigen.«

Zur Forschungsgruppe gehörten außerdem Yuto Yoshida, ebenfalls von der TUS, Professor Teppei Yamada von der Universität Tokio sowie Assistant Professor Takashi Toyao und Professor Ken-ichi Shimizu von der Universität Hokkaido.

Anbieter zum Thema

zu Matchmaker+

Gastmolekül macht den Unterschied

Masaaki Sadakiyo, Tokyo University of Science, Batteries, Magnesium, Lithium
Schematische Darstellung von Mg(TFSI)2-Einschlüssen in den Poren des MIL-101.
© Masaaki Sadakiyo / Tokyo University of Science

Das Team verwendete ein MOF namens MIL-101 als Grundgerüst und brachte dann Mg2+-Ionen in dessen Nanoporen ein. In dem daraus resultierenden MOF-basierten Elektrolyten war Mg2+ locker gepackt, sodass die zweiwertigen Mg2+-Ionen wandern konnten. Um die Ionenleitfähigkeit weiter zu verbessern, setzte das Forscherteam den Elektrolyten Acetonitril-Dämpfen aus, die vom MOF als Gastmoleküle adsorbiert wurden.

Anschließend unterzog das Team die vorbereiteten Proben einem Impedanztest mit Wechselstrom (AC), um die ionische Leitfähigkeit zu messen. Es stellte sich heraus, dass der Mg2+-Elektrolyt eine superionische Leitfähigkeit von 1,9 × 10‒3 S/cm aufwies. Dies ist die höchste jemals gemeldete Leitfähigkeit für einen kristallinen Feststoff, der Mg2+ enthält.

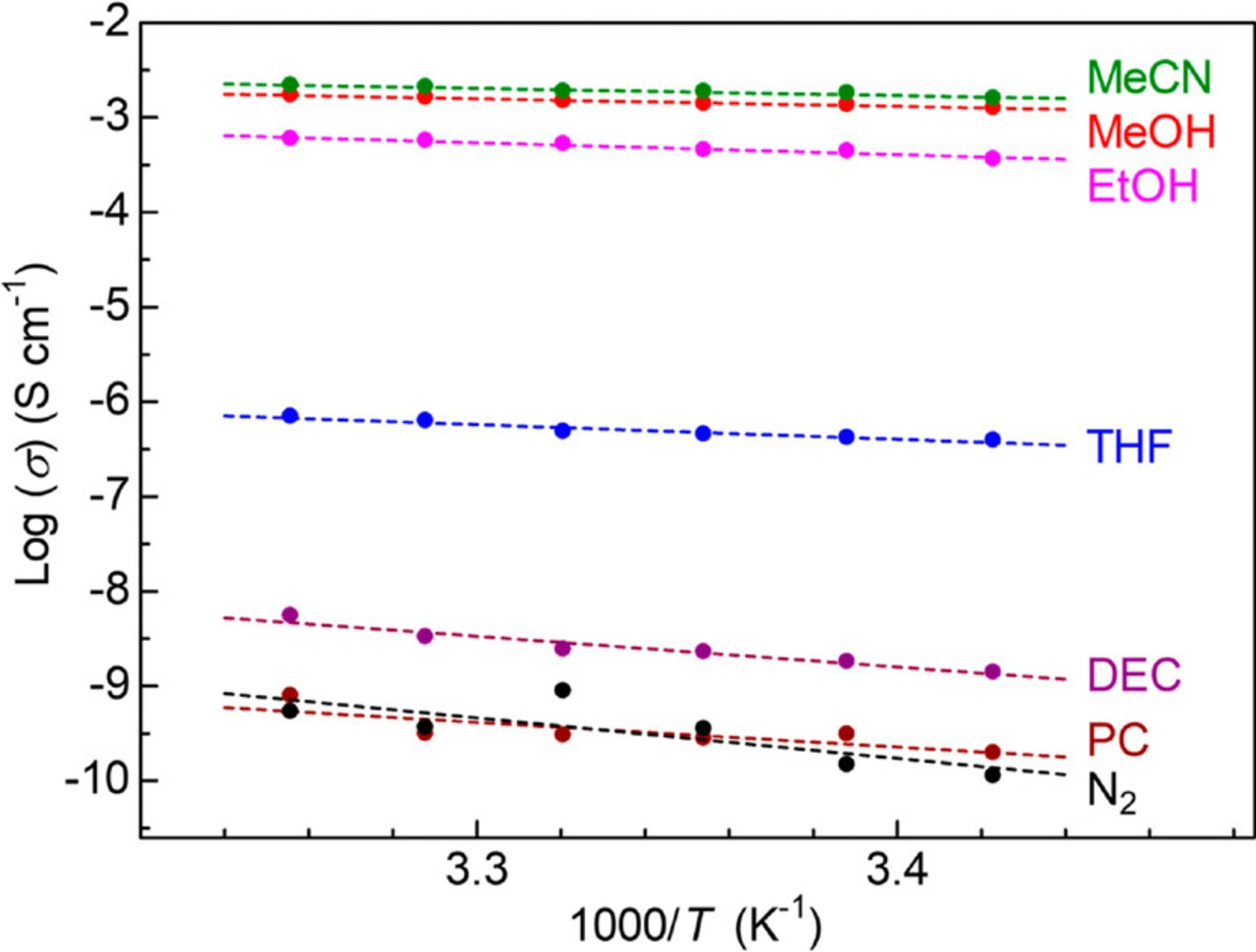
Masaaki Sadakiyo, Tokyo University of Science, Batteries, Magnesium, Lithium
Temperaturabhängigkeit der ionischen Leitfähigkeit von MIL-101⊃{Mg(TFSI)2}1,6 bei verschiedenen Gastdämpfen oder trockenem Stickstoff (N2).
© Masaaki Sadakiyo / Tokyo University of Science

Um den Mechanismus hinter dieser hohen Leitfähigkeit zu verstehen, führten die Forscher infrarotspektroskopische und adsorptionsisotherme Messungen an dem Elektrolyten durch. Die Tests ergaben, dass die im Gerüst adsorbierten Acetonitril-Moleküle dafür sorgen, dass die Mg2+-Ionen effizient durch den Körper des Festelektrolyten wandern.

Die Ergebnisse dieser Studie zeigen nicht nur, dass sich der neuartige MOF-basierte Mg2+-Leiter als Material für Batterieanwendungen eignet, sondern liefern auch wichtige Erkenntnisse für die Entwicklung künftiger Festkörperbatterien. »Lange Zeit hat man geglaubt, dass zwei- oder höherwertige Ionen nicht effizient durch einen Festkörper transportiert werden können«, erklärte Dr. Sadakiyo. »In dieser Studie haben wir gezeigt, dass dies gelingen kann, wenn die Kristallstruktur und die Umgebungsbedingungen sorgfältig gestaltet sind.«

Originalpublikation

Y. Yoshida, et al.: Super Mg2+ Conductivity around 10–3 S cm–1 Observed in a Porous Metal–Organic Framework, J. Am. Chem. Soc. 2022, 144, 19, 8669–8675, DOI: 10.1021/jacs.2c01612 (aufgerufen am 12.8.2022)


Lesen Sie mehr zum Thema


Das könnte Sie auch interessieren

Natrium-Ionen-Batterien

Effiziente Anoden aus Chinacridonen

Universität Bayreuth

7 µm dünner Festelektrolyt entwickelt

Alternative zu Lithium-Ionen-Akkus

HiNa Battery startet Massenfertigung von Natrium-Ionen-Batterien

Analyse von IDTechEx

Fünf Ansätze für bessere Lithium-Ionen-Batterien

Wuhan National Laboratory

Flexibler Zink-Ionen-Energiespeicher aus MXenen

Lithium-Förderung

In Deutschland nicht bedarfsdeckend

TÜV Süd und EIT InnoEnergy

Gegen den Fachkräftemangel im Batteriesektor

Als CEO von Varta abgetreten

Herbert Schein konzentriert sich auf E-Mobility

Batteriefertigung

SVOLT baut weitere Zellfabrik in Brandenburg

Extrem schnelles Laden von Batterien

Nur 3 Prozent Ladungsverlust nach 2600 Zyklen

PwC

Autobranche muss in Batterie-Wertschöpfung investieren!

Totgesagt und doch noch da

40 Jahre Musik-CD

Synapsen als Vorbild

Festkörperspeicher in neuromorphen Schaltungen

Ohne Lithium und Kobalt

Kostengünstige Alternative zu Lithium-Ionen-Batterien

Marktanalyse von IDTechEx

Diversifizierung im Batteriebereich nimmt Fahrt auf

Alternative zu Lithium-Ionen-Akkus

Kommt bald die Aluminium-Ionen-Batterie?

Alternative zu Lithium-Ionen-Akkus

Natrium-Ionen-Akkus von CATL haben 160 Wh/kg

Alternative zur Lithium-Ionen-Batterie

Neue Batteriechemie für stabile Zink-Luft-Batterie entwickelt

TU München mit Batterie-Alternative

Graphen-Verbindung für hocheffiziente Superkondensatoren

Abhängikeit von Lithium reduzieren

Magnesiumbasierte Energiespeichertechnologie entwickeln

Akku-Technologie

Natrium als kostengünstige Alternative zu Lithium

Jetzt kostenfreie Newsletter bestellen!

Weitere Artikel zu elektroniknet

Weitere Artikel zu Akkumulatoren

Weitere Artikel zu Batterien und Akkus

Weitere Artikel zu Forschung und Lehre