SMD-Ferrite dämpfen Störsignale in Schaltreglerschaltungen

Überschwinger einfangen

13. Mai 2015, 13:39 Uhr | Von Christopher Richardson und Ranjith Bramanpalli
Diesen Artikel anhören

Fortsetzung des Artikels von Teil 4

Hohe Impedanzwerte = geringere Überschwinger

Bild 7. Der Vergleich der Schaltknotenspannungen präferiert das Bauteil mit der höchsten Impedanz.
Bild 7. Der Vergleich der Schaltknotenspannungen präferiert das Bauteil mit der höchsten Impedanz.
© Würth Elektronik

Es zeigt sich, dass das Bauteil mit der höchsten Impedanz bei der Überschwingfrequenz die stärkste Verringerung sowohl der Amplitude als auch der Dauer dieser unerwünschten Schwingung (vgl. Bild 7) ermöglicht. Zur richtigen Auswahl kann das Produktdatenblatt herangezogen werden oder es wird eine Auswahl über den Component Selector von Würth Elektronik getroffen.

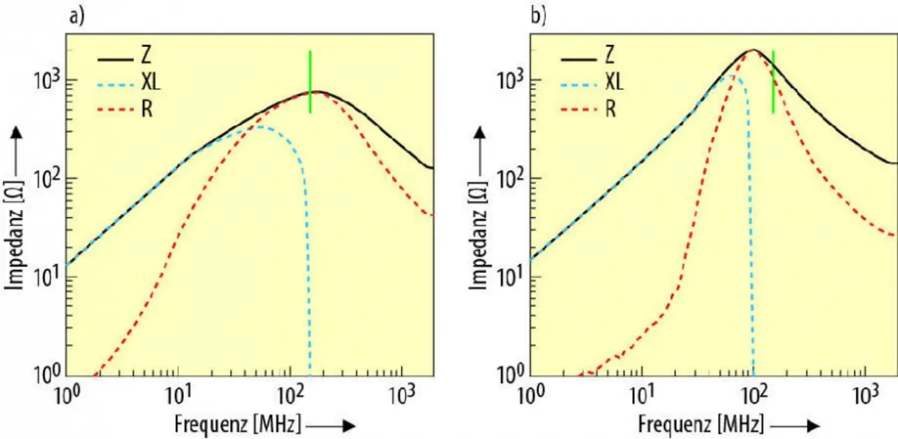
Bild 8 wiederum zeigt die typischen Kennlinien von Blindwiderstand, Widerstand und Impedanz für den 74279265 (600 Ω, linkes Bild) und den 742792693 (2200 Ω, rechtes Bild). Der Entwickler sollte hier in jedem Fall die Widerstandskennlinie (im Diagramm die resultierende schwarze Kurve) verwenden, da der Hochfrequenzstrom durch den RDC in Wärme umgewandelt wird.

Anbieter zum Thema

zu Matchmaker+
Bild 8. Die typischen Kennlinien in Bezug auf Blindwiderstand, Widerstand und Impedanz für den 74279265 (links, 600 Ω) und den 742792693 (rechts, 2200 Ω).
Bild 8. Die typischen Kennlinien in Bezug auf Blindwiderstand, Widerstand und Impedanz für den 74279265 (links, 600 Ω) und den 742792693 (rechts, 2200 Ω).
© Würth Elektronik

Schritt 4: Leistungsverluste und Ableitung überprüfen

Die Regelung der Änderungsgeschwindigkeit ist ein Kompromiss zwischen der Verringerung der EMI und zunehmenden Verlusten. Wenn der Wechsel des Schaltzustands zu stark verlangsamt wird, kann der Leistungs-MOSFET überhitzen und die Gesamtleistungseffizienz auf ein unzulässiges Maß sinken.

Tabelle 1.
Tabelle 1.
© Würth Elektronik

Tabelle 1 zeigt die relativen Eingangsströme und Leistungseffizienzwerte der Testschaltung ohne Regelung der Änderungsgeschwindigkeit, ferner mit einem abgestimmten Widerstand von 16,2 Ω für R2 und mit den beiden verwendeten Ferritkernspulen. 
Zwar muss ein kleiner Teil der Leistung geopfert werden, um die EMV zu verbessern, doch ist der Ferrit mit dem Nennwiderstand 2200 Ω dem abgestimmten Widerstand geringfügig überlegen und auch effizienter.


  1. Überschwinger einfangen
  2. Ferrite anstelle von Widerständen
  3. Auswählen der passenden Ferritkernspule
  4. Schritt 2: Bootstrap-Durchschnittsstrom berechnen oder messen
  5. Hohe Impedanzwerte = geringere Überschwinger
  6. EMV-Emissionsdiagramm deckt Unterschiede auf

Lesen Sie mehr zum Thema


Das könnte Sie auch interessieren

Jetzt kostenfreie Newsletter bestellen!

Weitere Artikel zu Würth Elektronik eiSos GmbH & Co. KG

Weitere Artikel zu Induktive Bauelemente