Übertrager für Schaltregler-Designs

Trafos für Sperrwandler

14. Dezember 2017, 16:00 Uhr | Von Dr. Thomas Brander, Alexander Gerfer, Bernhard Rall und Dr. Heinz Zenkner
Diesen Artikel anhören

Fortsetzung des Artikels von Teil 4

2. Schritt: Festlegen der Induktivität

Ähnlich wie bei Speicherdrosseln sollten jetzt zunächst die auftretenden Ströme bestimmt werden. Betrachtet man die Stromkurven der Primär- und Sekundärseite, können der Effektivstrom, der Durchschnittsstrom und der Maximalstrom unterschieden werden.

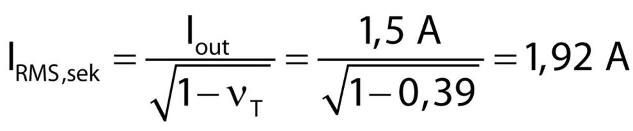
Der Effektivstrom ist der Strom, mit dem später die Kupferverluste berechnet werden. Es ist der über die Periode gemittelte Strom. Für die Sekundärseite ergibt sich ein Wert gemäß Formel 5:

Anbieter zum Thema

zu Matchmaker+
Formel 5
Formel 5
© Würth Elektronik

Hierbei gilt: Irms,sek: Effektivstrom auf der Sekundärseite

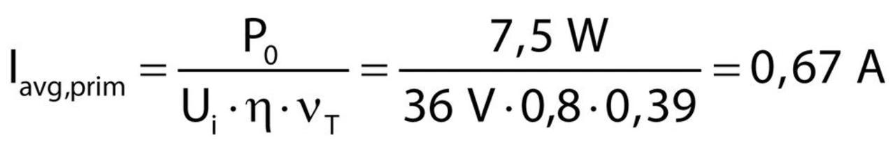
Auf der Primärseite indes fließt effektiv ein Strom, der gemäß Formel 6 ermittelt werden kann:

Formel 6
Formel 6
© Würth Elektronik

Hierbei gelten: Irms,prim: Effektivstrom auf der Primärseite; Po: Ausgangsleistung; η: Wirkungsgrad (i.d.R. rund 80 %).

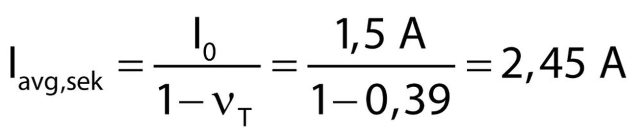
Als Durchschnittsstrom wird der Mittelwert des Stroms bezeichnet, der anliegt, während der MOSFET bzw. die Diode leitet.

Formel 7
Formel 7
© Würth Elektronik

Er berechnet sich für die Sekundärseite gemäß Formel 7 und für die Primärseite gemäß Formel 8:

Formel 8
Formel 8
© Würth Elektronik

Zur Bestimmung der Induktivität können wieder verschiedene Kriterien angewendet werden. Die Sekundärinduktivität wird – gemäß Formel 9 – mit einem Ripple-Strom von 40 % berechnet:

Formel 9
Formel 9
© Würth Elektronik

Der Wert für die Primärinduktivität ergibt sich gemäß Formel 10:

Formel 10
Formel 10
© Würth Elektronik

  1. Trafos für Sperrwandler
  2. Der Sperrwandler
  3. 1. Nichtlückender Betrieb:
  4. 1. Schritt: Festlegen des Übersetzungsverhältnisses bzw. des Tastverhältnisses
  5. 2. Schritt: Festlegen der Induktivität
  6. 3. Schritt: Auswahl des Kerns

Lesen Sie mehr zum Thema


Das könnte Sie auch interessieren

Jetzt kostenfreie Newsletter bestellen!

Weitere Artikel zu Würth Elektronik eiSos GmbH & Co. KG

Weitere Artikel zu Induktive Bauelemente