Der Lithium-Ionen-Kondensator

Vereinte Technik

18. Juli 2019, 13:52 Uhr | Alexander Schedlock

Batterien gelten durch ihre große Energiedichte und geringer Selbstentladung als mögliche Energiespeicher der Zukunft. Jedoch haben sie auch Nachteile, wie geringe Leistungsdichte und begrenzte Lebensdauer. Eine falsche Verwendung kann brandgefährlich werden.

Diesen Artikel anhören

Viele Applikationen benötigen Energiespeicher, die eine mobile Nutzung von Geräten überhaupt erst ermöglichen. Eine weitere Lösung bietet ein Bauteil, welches schon immer fester Bestandteil der Elektrotechnik war: der Kondensator. Ein Bauteil, welches Energie speichert, der Batterie bisher jedoch unterlegen war. Entwicklungen wie die Super- oder Doppelschichtkondensatoren (EDLC, Electric Double-Layer Capacitor) erreichen zwar weitaus höhere Leistungsdichten als Batterien, konnten aber als alleinige Stromversorgung nur in Ausnahmefällen genutzt werden. Superkondensatoren sind jedoch mit ihrer guten Zyklenfestigkeit den Batteriesystemen weitüberlegen und dazu noch in der Anwendung sicherer.

Eine noch junge Technologie vereint die Vorteile von Superkondensatoren und Batterien. Sie trägt den Namen „Lithium-Ionen Kondensator“ (LiC, Lithium-Ion Capacitor) und schließt die Lücke zwischen Kondensator und Batterie. Das Unternehmen Jianghai bietet diese Technologie unter dem Konzept Energy-Capacitors, kurz Energy-C, in Europa an und arbeitet bereits an der nächsten Generation.

Anbieter zum Thema

zu Matchmaker+

Energiespeicher der Zukunft?

Das Speichervermögen für elektrische Ladungen sowohl im Lithium-Ionen-Kondensator als auch im Doppelschichtkondensator beruht auf der Existenz von zwei Kapazitäten: der elektrostatischen Doppelschichtkapazität und der elektrochemischen Pseudokapazität. Beide zusammen ergeben die Gesamtkapazität der jeweiligen Kondensatortechnologie. Obwohl die Kapazitäten gekoppelt sind, kann zwischen ihren Ladungen unterschieden werden. Die spezifischen Eigenschaften der Bauteile lassen sich optimieren. Ein kleiner Exkurs in die Physik soll den Unterschied und den Zusammenhang beider Kapazitäten verdeutlichen.

Helmholtz-Doppelschicht

Im Laufe des letzten Jahrhunderts wurden mehrere Modelle entwickelt, welche die Doppelschichtkapazität beschreiben. Hermann von Helmholtz war jedoch der erste, der das Prinzip der Doppelschicht untersucht und in einem Modell der sogenannten „Helmholtz-Doppelschicht“ dargestellt hat. Mithilfe dieses Modells wird beschrieben, wie in der namensgebenden Doppelschicht elektrische Energie gespeichert wird.

Prinzipschema eines Doppelschichtkondensators (entladen/geladen).
(Bild 1) Prinzipschema eines Doppelschichtkondensators (entladen/geladen).
© Jianghai

In heutigen EDLCs wird diese Ladungsspeicherung optimal ausgenutzt. Die konstruktive Basis der Kondensatoren besteht aus zwei Aktivkohle-Elektroden, welche auf einer Aluminiumfolie, dem Kollektor, aufgebracht wurden. Die Elektroden sind gegen Kurzschluss voneinander durch eine Membran – dem sogenannten Separator – getrennt, welche durchlässig für Ionen ist. Gleichzeitig dient sie als Speicher für den flüssigen Elektrolyten. Der flüssige Elektrolyt liefert Ionen als Träger der elektrischen Stromleitung im Kondensator. Wird eine Spannung angelegt, wandern die Ionen im Elektrolyten zur jeweils gegenpoligen Elektrode. Die Ionen sammeln sich an der Phasengrenze (Grenze zwischen flüssigem Elektrolyten und fester Elektrode) und bilden eine Doppelschicht (Bild 1).

Die Doppelschicht besteht aus den Ionen im Elektrolyten und einer Schicht aus Gegenionen in der Elektrode. Zwischen den beiden Ladungsträgern bildet sich ein elektrisches Feld aus, welches die Molekülschicht dazwischen polarisiert und voneinander isoliert. Sie weist eine „ladungstrennende Wirkung“ auf und trennt die beiden Schichten wie das Dielektrikum eines Plattenkondensators. Diese Schicht wird auch „Innere Helmholtz-Schicht“ genannt. Zusammen mit der Ionenschicht im Elektrolyten („Äußere Helmholtz-Schicht“) werden diese Schichten Doppelschicht genannt (Bild 2). Vereinfacht ausgedrückt entstehen zwei Platten, die von einem Dielektrikum getrennt werden. Das Ausbilden der Doppelschicht geschieht sehr schnell, da die Ionen nur adsorbiert werden und keine chemische Bindung eingehen. Das ermöglicht ein besonders schnelles Auf- und Abbauen der Doppelschicht beziehungsweise Laden und Entladen des Kondensators.

Die insgesamt gespeicherte Ladungsmenge der Doppelschicht ist abhängig von den Ionen im Elektrolyten und den Ionen im Oberflächenbereich der Elektrode und steigt linear mit der angelegten Spannung bis zu einem Grenzwert an. Dieser Grenzwert wird auch Zersetzungsspannung des Elektrolyten genannt.

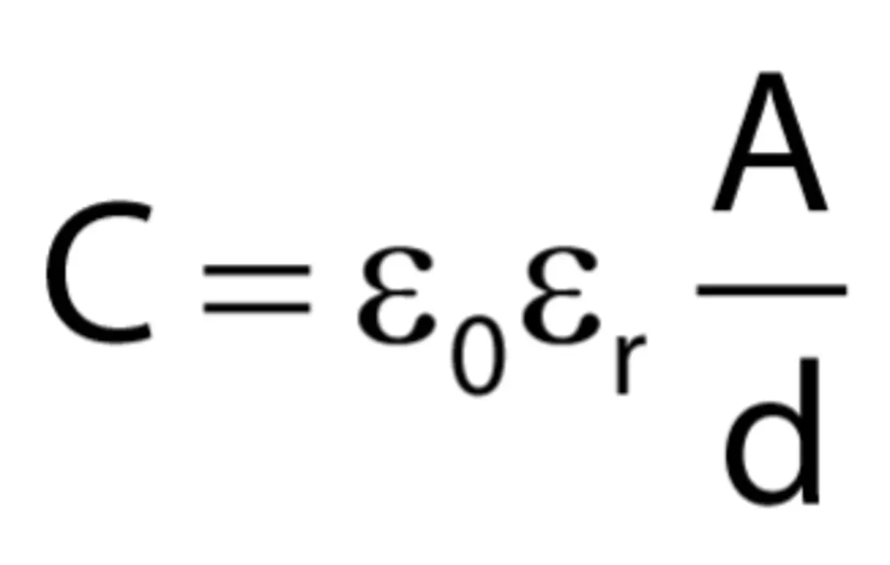
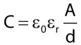
Weil beim Anlegen einer Spannung jeweils eine Doppelschicht an beiden Elektroden entsteht, entspricht dies einer Reihenschaltung aus zwei Plattenkondensatoren. Entsprechend kommen hier die Formeln zum Berechnen des elektrischen Feldes und der Kapazität zum Einsatz. Die Kapazität bei symmetrisch ausgelegten Elektroden entspricht der Kapazität einer einzelnen Elektrode.

Formel 1 Jianghai Kondensator
  
© Jianghai
Formel 2 Jianghai KOndensator
   
© Jianghai

An der Formel zur Berechnung der Kapazität erkennt man, dass sie proportional zur Fläche der Platten und umgekehrt proportional zum Abstand zwischen den Platten abhängig ist. Aktivkohle als Elektrodenmaterial bietet dabei den Vorteil einer sehr großen Oberfläche durch ihre hoch poröse Struktur. Der Abstand zwischen den Ionenschichten ist aufgrund der dünnen Trennschicht aus Molekülen sehr gering. Der Abstand beträgt abhängig vom eingesetzten Elektrolyten zwischen 0,1 nm bis zu 10 nm. Dadurch besitzen Doppelschichtkondensatoren in der Regel eine sehr hohe Kapazität.

Aus dem geringen Abstand folgt jedoch auch eine Begrenzung der zulässigen Betriebsspannung. Zu hohe elektrische Feldstärken können zu Durchbrüchen im Dielektrikum führen. Der begrenzende Faktor ist die Stabilität der molekularen Bindung des trennenden Lösungsmittelmoleküls. Jedoch ist diese Stabilität begrenzt und lässt die Trennschicht nur in einem Spannungsbereich zwischen 1,2 V und 3 V entstehen. Außerdem bricht die trennende Wirkung der Doppelschicht und es kommt zu Kurzschlüssen und die Elektrolyse beginnt, die zu einer irreversiblen Schädigung des Elektrolyten führt.

Prinzipdarstellung der Doppelschichtkapazität.
( Bild 2) Prinzipdarstellung der Doppelschichtkapazität.
© Jianghai

Elektrochemische Pseudokapazität

Frühe Untersuchungen an Doppelschichten zeigten abweichende Ergebnisse zwischen der gemessenen Kapazität und der theoretisch berechneten Kapazität der Bauteile. Die Messergebnisse waren deutlich höher als erwartet und damit nicht erklärbar. Erstmals erwähnt wurde das Phänomen von Grahame in seinem modifizierten Stern-Modell, in dem er eine „spezifische Adsorption“ vorschlug. Doch erst einige Jahre später wurde die Grundlage für die sogenannten Pseudokapazität gelegt.

Die Pseudokapazität oder faradaysche Ladung ist fester Bestandteil der Doppelschicht. Sie entsteht, indem Ionen ihre Molekülhülle abstreifen, die trennende Schicht durchdringen und die Elektrodenoberfläche berühren. Über schwache Van-der-Waals-Kräfte bleiben sie auf der Oberfläche haften. Dabei findet ein sogenannter Faradayscher Ladungstausch statt, bei dem das adsorbierte Ion Ladung an die Oberflächenionen in der Elektrode abgibt. Hierbei werden jedoch keine chemischen Verbindungen mit der Elektrode eingegangen; es findet lediglich ein Elektronentransfer statt.

Dieser Vorgang ist zudem reversibel und er wird beim Entladen wieder rückgängig gemacht, wodurch er sich im Grunde unbegrenzt wiederholen ließe. Die mehrstufigen Redoxreaktionen in Akkumulatoren folgen einem ähnlichen Prinzip, unterscheiden sich aber deutlich von dem Ladungsaustausch bei der Pseudokapazität. Mit dem Verlauf von Redoxreaktionen gehen chemische Bindungen einher. Die Reaktionen sind zwar im Prinzip reversibel, jedoch entstehen im Laufe von vielen Lade- und Entladevorgängen auch chemische Verbindungen, die nicht weiter reagieren können. Dies führt zum Verlust von Kapazität.

Das beim Elektronentransfer abgegebene Elektron wandert über den externen Stromkreis zur gegenüberliegenden Elektrode. Gleichzeitig wandern gleich viele entgegengesetzt geladene Ionen durch den Elektrolyten zur Elektrode, welche die Ionen aufnimmt. Beim Entladen wird das Elektron wieder freigegeben. Dieser Elektronenaustausch verläuft sehr schnell – sehr viel schneller, als die chemischen Prozesse im Akkumulator. Dies ermöglicht ebenfalls eine hohe Leistungsdichte.

Beim Speichervermögen zeichnet sich ein deutlicher Unterschied zur Doppelschicht ab. Zwar ergibt sich das Speichervermögen der Pseudokapazität wie auch bei der Doppelschicht aus dem potenzialabhängigen Bedeckungsgrad der Elektrodenoberfläche mit adsorbierten Ionen. Der Unterschied besteht jedoch darin, dass bei allen pseudokapazitiven Reaktionen die Ionen desolvatisiert sind. Sie umgibt also keine Hülle aus Lösungsmittelmolekülen. Sie sind dadurch deutlich kleiner als die umhüllten Ionen der Doppelschicht.

Theoretisch kann die Pseudokapazität bei gleicher Elektrodenoberfläche um den Faktor 100 größer sein als die Doppelschichtkapazität. Die Eigenschaft, besonders viel Pseudokapazität zu bilden, ist abhängig vom eingesetzten Elektrodenmaterial. Zum Einsatz gelangen zum Beispiel Metalloxide von Übergangsmetallen, die zum Teil durch Dotierung in das Elektrodenmaterial eingebracht werden. Leitfähige Polymere, die auf die Strukturen von Kohlenstoffelektroden aufgebracht sind, eignen sich ebenfalls für Pseudokondensatoren. Jedoch gibt es keine Pseudokondensatoren, welche eine Kapazität ausschließlich aus Pseudokapazität bilden. In real ausgeführten Pseudokondensatoren verbleibt immer noch ein Kapazitätsanteil der Doppelschicht zwischen fünf bis zehn Prozent.

Vereinte Technik

Lithium-Ionen-Kondensatoren vereinen die Vorzüge von EDLC und Batterien: die hohe Leistungsdichte der EDLC vereint mit der hohen Energiedichte von Batterien. Die Konstruktion eines Lithium-Ionen-Kondensators ähnelt dem eines EDLC. Eine der eingesetzten Aktivkohle-Elektroden ist baugleich wie beim Doppelschichtkondensator. Die zweite Elektrode wurde gegen eine stark pseudokapazitive Elektrode ausgetauscht, welche aus einem mit Lithium-Ionen dotierten Graphit besteht. (Bild 3)

So funktionieren EDLC, LiC und LiB.
(Bild 3) So funktionieren EDLC, LiC und LiB.
© Jianghai

Graphit besteht aus geschichtetem Graphen. Graphen besitzt eine Kohlenstoffstruktur, bei der jedes Kohlenstoffatom an drei andere Kohlenstoffatome gebunden ist, sodass sich ein zweidimensionales Gitter aus sechseckigen Kohlenstoffverbindungen bildet. Jedes dieser Kohlenstoffatome ist mit einem Kohlenstoffatom der benachbarten Schicht verbunden. Durch Dotierung werden gezielt positiv geladene Lithium-Ionen zwischen die Graphitschichten eingefügt, um die elektrische Leitfähigkeit und die Pseudokapazitätsbildung zu erhöhen. Denn nun nehmen bei einem Elektronentransfer nicht die herübergewanderten Ionen des Elektrolyten die Elektronen auf, sondern die “elektronen-hungrigen“ Lithium-Ionen.

Die Dotierung von Lithium-Ionen in das kohlenstoffhaltige Material an der negativen Elektrode senkt ihr Potenzial ab und bewirkt eine Spannung von mindestens 2,2 V an den Klemmen des ungeladenen Kondensators. Um den Kondensator zu laden, bedarf es einer Spannungsquelle mit einer höheren Spannung als der Klemmenspannung des Kondensators. Beim Ladevorgang wird das Potenzial der negativen Elektrode um 0,5 V abgesenkt und die positive Doppelschichtelektrode mit einer Spannung von bis zu 1,3 V beaufschlagt.

Es ergeben sich Ausgangspannungen von bis zu 4 V. Da die im Kondensator gespeicherte Energiemenge quadratisch mit der Spannung ansteigt, ist die Ladungsträgerdichte von Lithium-Ionen Kondensatoren mit etwa 4 V mehr als doppelt so hoch als die von Doppelschichtkondensatoren mit 2,7 V.

Einsatz in chinesischen Bussen

Applikationen benötigen immer mehr Energie für ihren langfristigen Betrieb. Der Lithium-Ionen-Kondensator als Bindeglied zwischen Kondensatoren und Batterien bietet einen neue Lösungsansatz. Er ermöglicht es, die Anforderungen zu erfüllen und neue Applikationen zu ermöglichen, die zuvor nicht realisierbar waren.

Der chinesische Hersteller Jianghai fertig Lithium-Ionen-Kondensatoren bereits in verschiedenen Bauformen in Serie. Ob klassisch als radialen oder Snap-in-Kondensator oder auch als Pouch Bag bis hin zu großen Modulen. Letztere lassen sich individuell auf verschiedenste Applikationen zuschneiden und vielfach optimieren.

Ein klassisches Beispiel ist die Energierückgewinnung beim Abbremsen einer Last. Dies kann bei einem Gabelstapler im Lager, der Aufzug im Haus, das Auto auf der Straße oder der Zug auf den Schienen sein. Bei jedem Abbremsen wird Bremsenergie erzeugt, welche heute zumeist über einen Bremswiderstand verheizt wird. Die hier entstehenden Ströme sind oft zu hoch für ein konventionelles Batteriesystem und würden seine ohnehin schon begrenzte Lebensdauer weiter reduzieren. Auch die geringe Zyklenfestigkeit spricht gegen den Einsatz von Batteriesystemen zur Energierückgewinnung.

Alexander Schedlock beendete an der Fachschule für Technik Heinrich-Hertz- Berufskollege in Düsseldorf sein Examen als Staat. Gepr. Techniker in Fachrichtung Elektrotechnik. Nach der erfolgreichen Ausbildung zum IT-Systemelektroniker (2010) arbeitete
Alexander Schedlock beendete an der Fachschule für Technik Heinrich-Hertz- Berufskollege in Düsseldorf sein Examen als Staat. Gepr. Techniker in Fachrichtung Elektrotechnik. Nach der erfolgreichen Ausbildung zum IT-Systemelektroniker (2010) arbeitete er als Servicetechniker im Außendienst und konnte so Erfahrung mit Endgeräten verschiedener Applikationen erlangen. Nebenberuflich studierte er vier Jahre an der Fachschule für Elektrotechnik und schloss 2017 erfolgreich sein staatliches Fachschulexamen ab. Seit 2018 arbeitet er im Vertriebsteam von Jianghai Europe Electronic Components als Technical Sales Manager und betreut europaweit Kunden bei technischen Designs. Schedlock ist Ansprechpartner für den Bereich Energy-Capacitors. info@jianghai-europe.comoder
© Jianghai

Mit einer hohen Leistungsdichte von bis zu 8,5 kW/kg kann der LiC diese Energie speichern und wieder zur Verfügung stellen. Sicherheit und Zuverlässigkeit sprechen für den Einsatz von LiC auch als Hauptenergiespeicher für Applikationen wie fahrerlose Transportfahrzeuge oder in E-Mobility- Anwendungen.

In China fahren bereits komplette Busflotten mit diesem Energiespeicher. Die Busse werden mit einem Modul ausgestattet, welches die bestehende Batterie ersetzt. Der Austausch reduziert das Volumen und das Gewicht des gesamten Busses. Die reduzierte Reichweite fällt durch die geringe Ladezeit des neuen Moduls kaum ins Gewicht. Die Ladung erfolgt an den Haltepunkten der Buslinie nach dem Prinzip „Charge-and-go“. Der Ladevorgang erfolgt in der Zeit, in der die Passagiere den Bus verlassen und hinzusteigen. So können Passagiere ohne längere Ladepausen kontinuierlich transportiert werden.


Lesen Sie mehr zum Thema


Das könnte Sie auch interessieren

Jetzt kostenfreie Newsletter bestellen!

Weitere Artikel zu Jianghai Europe Electronic Components GmbH

Weitere Artikel zu Kondensatoren