Immer schön im Takt bleiben

Wie die Kondensatorwahl die Quarzgenauigkeit beeinflusst

16. Mai 2025, 10:07 Uhr | Susanna Engel Rodrigues, Field Application Engineer von Würth Elektronik eiSos
© IQD Frequency Products

Quarze liefern die erforderlichen Taktsignale in elektronischen Anwendungen. Besondere Aufmerksamkeit in Oszillatorschaltungen mit Quarzen sollte den Lastkondensatoren gewidmet werden, denn sie haben entscheidenden Einfluss auf die Genauigkeit und Zuverlässigkeit.

Diesen Artikel anhören

Unser Alltag ist geprägt von Elektronik und das nicht erst seit Corona für einen Boom bei Unterhaltungselektronik und Homeoffice-Equipment gesorgt hat. Seit Jahrzehnten wird die Welt um uns herum zunehmend durch Elektronik vereinfacht oder zumindest erweitert. Ein zentrales Element vieler Elektronikanwendungen sind Mikrocontroller und damit oft verbunden auch Quarze. 

Quarze sorgen für den richtigen Takt beim Mikrocontroller und sind deshalb maßgeblich an der einwandfreien Funktion dieser beteiligt. Damit dies aber gewährleistet ist, ist einiges zu beachten, das auf den ersten Blick einfach erscheint – wie zum Beispiel die richtige Wahl der Kondensatoren am Quarz.

Der Quarz als Herzschlag der Schaltung

Bereits seit vielen Jahrzehnten werden Quarze verwendet, um Taktsignale zu erzeugen. Da Quarze allerdings passive Bauteile sind, wird stets eine sogenannte Aktivierungsschaltung benötigt, die aus dem passiven Quarz einen aktiven Oszillator macht. Die gängigste Variante dieser Oszillatorschaltung ist der »Pierce«-Oszillator entsprechend Abbildung 1. Hierbei sind der Inverter (Inv) sowie der Widerstand Rf in den meisten Fällen bereits im Mikrocontroller integriert. Die beiden Kondensatoren Ca und Cb hingegen müssen hinzugefügt werden und sind integraler Teil der Lastkapazität. 

Die Lastkapazität

Die Lastkapazität ist einer der wichtigsten Parameter bei der Spezifikation eines Quarzes. Oftmals als CL oder CLoad gekennzeichnet, darf sie in keinem Quarzdatenblatt fehlen und wird doch häufig missverstanden oder falsch ausgelegt. 

Ein Irrglaube ist zum Beispiel, dass der Wert die Kapazität des Quarzes darstellt. Ein anderer ist, dass er direkt die Werte für die benötigten Kondensatoren Ca und Cb angibt. Tatsächlich gibt dieser Wert allerdings an, bei welcher Last der Quarz während der Fertigung auf seine Sollfrequenz abgestimmt wurde. Folglich wird ein Quarz auch nur auf seiner Sollfrequenz schwingen, wenn auch die Schaltung, in die er eingebaut wird, diese Lastkapazität liefert. Im Idealfall gilt also:

Lastkapazität Datenblatt Quarz = Lastkapazität Schaltung

Anbieter zum Thema

zu Matchmaker+
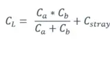
Um die Lastkapazität in der Schaltung richtig auszulegen, kann man auf folgende einfache Formel zurückgreifen:
© Würth

Um die Lastkapazität in der Schaltung richtig auszulegen, kann man auf folgende einfache Formel (nebenstehend) zurückgreifen:

In der Umsetzung birgt diese Formel allerdings einige Fallstricke.

Abbildung 1: Pierce-Oszillator mit Augenmerk auf den Lastkondensatoren.
Abbildung 1: Pierce-Oszillator mit Augenmerk auf den Lastkondensatoren
© Würth Elektronik eiSos

Die Streukapazität Cstray beinhaltet sowohl die Kapazität der Leiterbahnen als auch die der Ein- und Ausgangspins des Mikrocontrollers, an denen ein Quarz angeschlossen wird. Während die Kapazität der Mikrocontrollerpins gelegentlich angegeben wird, bleibt die der Leiterbahnen und damit der Gesamtwert der Streukapazität meist eine Unbekannte. Somit kann der Wert der Streukapazität während der ersten Auslegung der Schaltung nur geschätzt werden. Es gilt für das Leiterplattenlayout im Hinterkopf zu behalten, dass die Streukapazität der Leiterbahnen maßgeblich durch die Länge dieser bestimmt wird – je kürzer die Leiterbahnen, desto geringer die Streukapazität.

Für die Auslegung der beiden Kondensatoren Ca und Cb entsprechend Abbildung 1 hat es sich in der Praxis bewährt, von den gleichen Werten (Ca = Cb) auszugehen. Das erleichtert nicht nur das Berechnen und sorgt für Dankbarkeit im Einkauf, sondern liefert auch meist gute Ergebnisse. Sollte das aufgrund der Streukapazität und der festen Kapazitätswerte von Kondensatoren der E-Reihe nicht passen, sollte der Kondensator mit der größeren Kapazität an die Stelle von Cb gesetzt werden (Ca < Cb).

Kondensator ist nicht gleich Kondensator

Generell werden im Normalfall sogenannte MLCCs (Multilayer Chip Capacitors) verwendet. Bei der Auswahl der Kondensatoren sollte darauf geachtet werden, dass diese ein möglichst stabiles Temperatur- und DC-Bias-Verhalten an den Tag legen. Idealerweise also Kondensatoren des Typs NP0, wie zum Beispiel die WCAP-CSGP General Purpose Serie oder die WCAP-CSRF High Frequency Variante. Andernfalls können auch Temperaturschwankungen auf ein sonst gut abgestimmtes Oszillator-Design negative Einflüsse haben. 

Einfache Möglichkeiten zur Auswahl von Kondensatoren bieten zum Beispiel Designplattformen wie RedExpert von Würth Elektronik. 

Abbildung 2: Ziehempfindlichkeit verschiedener Baugrößen
Abbildung 2: Ziehempfindlichkeit verschiedener Baugrößen
© Würth Elektronik eiSos

Folgen falsch ausgelegter Lastkapazität

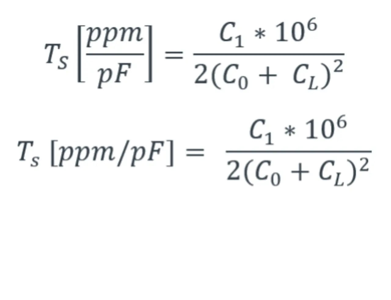
Ist die Lastkapazität der Schaltung falsch ausgelegt, hat das einen direkten Einfluss auf die Frequenztoleranz des Quarzes. Wie groß dieser Einfluss ist, gibt die sogenannte Ziehempfindlichkeit (engl. Trim Sensitivity) TS an:

Folgen falsch ausgelegter Lastkapazität
© Würth

Die Ziehempfindlichkeit eines Quarzes ist abhängig von der Baugröße, Blank-Form und Frequenz – diese bestimmen die Geometrie des Blanks (Quarzscheibe im Quarz) und damit die Werte der dynamischen Kapazität C1 und der Shunt-Kapazität C0 (Formeln nebenstehend). 

Abbildung 2 veranschaulicht die Ziehempfindlichkeit und den Einfluss einer falsch ausgelegten Lastkapazität. Beispielhaft wurden hier drei Quarze in unterschiedlichen Bauformen gewählt. Abgesehen von der Baugröße ist die Spezifikation hinsichtlich Frequenz (24 MHz), Toleranz (±10 ppm) und der Lastkapazität (8 pF) identisch. Die eingezeichneten Kurven zeigen die Ziehempfindlichkeit. Entspricht nun die Lastkapazität der Schaltung der des Quarzes (also 8 pF), ergibt sich keine zusätzliche Frequenzabweichung: Der Quarz schwingt auf seiner Sollfrequenz. 

Ist die Lastkapazität der Schaltung jedoch höher – im Beispiel 10 pF – ergeben sich hier bereits Abweichungen von -10 bis -36 ppm. Im niedrigeren Bereich wird der Einfluss noch größer: Bereits bei 6 anstatt 8 pF führt dies hier zu Abweichungen von bis zu 56 ppm. Das entspricht beim Beispiel der 24 MHz immerhin einem zusätzlichen Frequenzversatz von 1344 Hz. 

Deutlich wird auch, dass die Ziehempfindlichkeit keine lineare Größe ist, sondern bei sinkender Lastkapazität einen steileren Verlauf nimmt, also eine größere Frequenzabweichung mit sich bringt. Dies sollte bei der Auswahl eines Quarzes bedacht werden: Je niedriger die Lastkapazität, desto anfälliger ist ein Quarz bei Abweichungen der Last. 

Diese teilweise großen Abweichungen in der Frequenz und damit im Takt können wiederum weitreichende Folgen auf die Anwendung haben: 

  • instabiles oder unvorhersehbares Verhalten des Mikrocontrollers – zum Beispiel Neustart des Mikrocontrollers
  • Fehlfunktionen und infolgedessen Datenverlust oder Kommunikationsfehler
  • Beeinträchtigung der Leistung des Gesamtsystems 
  • Totalausfall 

Wie überprüfe ich, ob ich die richtigen Lastkondensatoren gewählt habe?

Um am Ende festzustellen, ob die Lastkapazität richtig ausgelegt wurde, bleibt nur ein Nachmessen der Frequenz. Das erfolgt entweder an einem isolierten Ausgang (einige Mikrocontroller bieten diese Möglichkeit direkt) oder mit einem speziellen Tastkopf mit sehr geringer Kapazität. Wird zum Messen in der Schaltung ein normaler Tastkopf verwendet, beeinfluss dessen Last die Frequenz bereits und die Messung ist nicht mehr aussagekräftig.

Entsprechend der gemessenen Frequenz im Vergleich zur Sollfrequenz laut Datenblatt lässt sich die Abweichung einfach berechnen:
© Würth

Entsprechend der gemessenen Frequenz im Vergleich zur Sollfrequenz laut Datenblatt lässt sich die Abweichung einfach berechnen (Formel nebenstehend):

Ist die Abweichung größer als die spezifizierte oder zulässige Toleranz, kann entsprechend nachgeregelt werden:

  • FrequenzAbw > 0    --> Erhöhung der Kapazitätswerte notwendig
  • FrequenzAbw < 0    --> Verringerung der Kapazitätswerte notwendig

Weitere Einflüsse der Lastkapazität auf die Schaltung

Neben einer stärkeren Ziehempfindlichkeit bietet die Wahl eines Quarzes mit geringer Lastkapazität allerdings den Vorteil einer geringeren Leistungsaufnahme. Gerade bei batteriebetriebenen Anwendungen kann dies ein ausschlaggebender Faktor für eine niedrige Solllast sein. Zudem steigt mit niedrigerer Lastkapazität auch die Verstärkung und damit der Sicherheitsfaktor in der Oszillatorschaltung. 

PCB-Design-Empfehlungen rund um die Lastkondensatoren

Beim Layout der Leiterplatte sollte, wie erwähnt, darauf geachtet werden, dass die Leiterbahnen zwischen Mikrocontroller, Kondensatoren und Quarz möglichst kurzgehalten werden. Das verringert einerseits die Streukapazität und anderseits sind kürzere Leitungen hinsichtlich Ausstrahlung und Einkopplung von Störsignalen immer zu bevorzugen. Des Weiteren sollten im Idealfall die Leitungslängen gleich sein. Ist dies nicht möglich, empfiehlt es sich, Ca näher am Mikrocontroller zu platzieren, um Streukapazitäten weiter zu reduzieren.

Generell ist eine gute Masseanbindung wichtig – idealerweise mittels Massefläche nur für den Quarz und seine Peripherie, die mit einem gesonderten GND-Pin am Mikrocontroller verbunden ist und somit den Quarz vom Rest der Schaltung trennt.

Design-Kits und integrierte Oszillatoren

Obwohl Quarze oftmals als einfache und leicht in eine Schaltung integrierbare Bauteile gelten, zeigt ein genauerer Blick, dass ein Quarz eben auch nur so gut schwingen kann, wie es das zugehörige Oszillatorschaltungsdesign erlaubt. Hier gibt es einige Fehler, die mit etwas Aufwand allerdings vermeidbar sind, sodass die Schaltung im Takt bleibt.

Design-Kits wie das 830004 von Würth Elektronik bieten zudem alles aus einer Hand für die Entwicklung – hier finden sich sowohl Quarze in gängigen Frequenzen und Lastkapazitäten als auch die passenden Kondensatoren sowie entsprechende Designempfehlungen.

Wem das jedoch zu viel Aufwand erscheint, kann auch auf eine fertige Lösung zurückgreifen: Integrierte Oszillatoren, oft als XOs oder SPXOs (Simple Packaged Xtal Oscillators) bezeichnet, integrieren bereits alle erforderlichen Bauelemente und müssen lediglich an eine Versorgungsspannung und den Mikrocontroller angeschlossen werden.


Lesen Sie mehr zum Thema


Das könnte Sie auch interessieren

Jetzt kostenfreie Newsletter bestellen!

Weitere Artikel zu Würth Elektronik eiSos GmbH & Co. KG

Weitere Artikel zu Quarze und Oszillatoren