Thermische Simulation

Eigenerwärmung der Leiterplatte

6. Mai 2014, 15:10 Uhr | Beate Wilke

Neben der Eigenerwärmung der LED durch die elektrischen Verluste darf auch die Eigenerwärmung der Leiterbahn nicht vernachlässigt werden. Der Beitrag zeigt anhand von Beispielen aus der Praxis, wie sich die Ströme in der Leiterbahn verteilen und wie sich dadurch die Leiterbahn, die Kupferfläche oder das Via erwärmt.

Diesen Artikel anhören

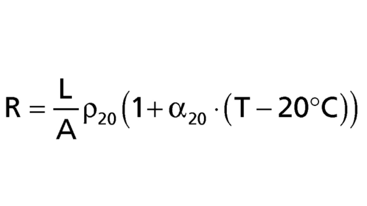
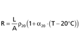
Für die Berechnung der Jouleschen Heizleistung muss der spezifische Widerstand eines Leiters bekannt sein. Dieser berechnet sich nach der Formel 1 mit L = Länge der Leiterbahn in m, A = Querschnitt der Leiterbahn im mm², ρ20 = 0,0175 mm²/m bei reinem Kupfer, α20 = 0,00395 · 1/K und T = Umgebungstemperatur.
Die thermische Verlustleistung Ptherm berechnet sich dann zu
Ptherm = I² · R
Diese Formel ist sinnvoll bei wenigen Hochstrom führenden Leitern mit homogener Breite, sie berücksichtigt aber keine Widerstandsveränderung durch Eigen- oder Fremderwärmung.
Normen wie die IPC-221 (Institute of Printed Circuits) sollen bei der Berechnung der erforderlichen Querschnitte helfen. Aber auch sie berücksichtigen keine Fremderwärmung durch andere Leiter und Bauteile. Auch Leiter mit unterschiedlichen Breiten oder Kupferflächen lassen sich nicht berechnen. Des Weiteren fehlen Einflussgrößen wie Einbaulage, Lagenaufbau, Umgebungstemperatur, Konvektion sowie Wärmekopplung und Wärmespreizung.

Die Systembetrachtung fehlt ebenfalls. Diese beantwortet etwa die Fragen, wie sich mehrere sich erwärmende Leiterbahnen gegenseitig beeinflussen oder auch welchen Einfluss die Erwärmung durch Bauteile, Sonneneinstrahlung oder andere Wärmequellen wie benachbarte Geräte hat. Beiden theoretischen Ansätzen fehlt die Berücksichtigung der Umgebungseinflüsse. Die daraus abgeleiteten Formeln und Diagramme erlauben die Dimensionierung einzelner Leiter, aber nicht die Dimensionierung vieler Leiter mit Eigenerwärmung.

Formel 1
© Flowcad

  1. Eigenerwärmung der Leiterplatte
  2. Überdimensionierung und anschließender Test
  3. Heterogene und parallele Leiter
  4. Praxisbeispiel: Starr-Flex-Leiterplatte
  5. Autorenvorstellung

Lesen Sie mehr zum Thema


Jetzt kostenfreie Newsletter bestellen!

Weitere Artikel zu FlowCAD EDA-Software Vertriebs GmbH