Induktive kontaktlose Energieübertragung

Adaptive Impedanzanpassung für maximalen Wirkungsgrad

20. Dezember 2018, 10:07 Uhr | Von Sebastian Stöcklin und Prof. Dr. Leonhard Reindl
Diesen Artikel anhören

Fortsetzung des Artikels von Teil 1

Dynamische Impedanzanpassung auf der Sekundärseite

Die Prinzipien, die eine solche Impedanzanpassung erlauben, sind vielseitig: So existieren Konzepte wie einstellbare kapazitive Netzwerke für eine Anpassung im AC-Bereich als auch Schaltwandler-basierte Konzepte im DC-Bereich [1]. Der Wireless-Power-Standard Qi nennt keine expliziten Betriebsmodi zur Wirkungsgradoptimierung, wogegen Airfuel diesen zwar grundsätzlich definiert [2], aber keine weiteren Ausführungen zur Implementierung anführt.

Verfahren zur Emulation eines beliebigen DC-Widerstands werden u.a. im Bereich des Energy Harvesting zum Maximum Power Point Tracking (MPPT) eingesetzt. Dabei wird typischerweise ein Schaltwandler eingangseitig geregelt, d.h. er regelt nicht wie üblich seine Ausgangsspannung, sondern seine Eingangsspannung.

Die Anwendbarkeit dieses Prinzips ist bereits in Bild 2 gezeigt: Das Einstellen einer gewissen Spannung UGL ist äquivalent zum Anschluss eines resistiven Elements RL,DC, das unter der Belastung der Quelle eben jene Spannung UGL hervorrufen würde. Kurzum: Durch das Regeln der Eingangsspannung des DC/DC-Wandlers UGL kann eine konstante Lastimpedanz dargestellt werden – ist diese Regelspannung veränderlich, kann der Wert der Lastimpedanz verändert werden.

Anbieter zum Thema

zu Matchmaker+
 Die Schaltung zur dynamischen Impedanzanpassung nutzt das Prinzip des Maximum Power Point Tracking
Bild 3. Die Schaltung zur dynamischen Impedanzanpassung nutzt das Prinzip des Maximum Power Point Tracking, das beim Einsatz von Energy Harvestern angewendet wird.
© Universität Freiburg

Hierzu kann die in Bild 3 gezeigte Schaltung des Energie-Empfängers genutzt werden: Kernelement ist ein DC/DC-Wandler, der über die Fähigkeit zur Eingangsspannungsregelung (MPPT-Funktion) verfügt. Hierzu dient eine Regelschleife, die die anliegende Eingangsspannung über einen Spannungsteiler mit einer Referenzspannung Uref vergleicht und das Absinken der Eingangsspannung unter einen Schwellenwert UMPP vermeidet, wenn der Ausgang stark belastet wird.

Da dies zwar eine konstante, aber noch keine variable Eingangsspannung erlaubt und die Referenzspannung als IC-interne Quelle nicht modifiziert werden kann, kommt eine zusätzliche Spannungseinspeisung über UDAU und RC3 zum Einsatz. Hierdurch ergibt sich eine Eingangsspannung (UDAU), die über den Digital-Analog-Umsetzer eines Mikrocontrollers modifiziert werden kann:

 

U subscript G L end subscript equals open parentheses R subscript C 1 end subscript over R subscript C 2 end subscript plus 1 close parentheses space times U subscript r e f end subscript space plus R subscript C 1 end subscript over R subscript C 2 end subscript times open parentheses U subscript r e f end subscript minus U subscript D A U end subscript close parentheses space space space space space space left parenthesis 3 right parenthesis

 

Wird die Eingangsspannung UGL für das exemplarische induktive Energieübertragungssystem variiert (siehe Bild 2), so zeigt sich, dass sowohl Leistung als auch Wirkungsgrad durch Veränderung der Spannung moduliert und beeinflusst werden können. Es bleibt jedoch die Herausforderung, dass die optimale Regelspannung Uopt eine Funktion des Spulenabstands – und auch der Eingangsspannung – und somit weder konstant noch gegeben ist.

Der grundlegende Lösungsansatz ist folgender:

  • Die Versorgungsspannung des primärseitigen Spulentreibers wird im Betrieb so geregelt, dass die ins System eingebrachte Leistung P1 konstant ist.
  • Ist die primärseitige Leistung konstant, wird das induktive Energieübertragungssystem dann mit höchstem Wirkungsgrad betrieben, wenn die maximal mögliche Leistung P2 sekundärseitig extrahiert wird. Hierzu wird ein sekundärseitiges Maximum Power Point Tracking eingesetzt.
Transienter Verlauf des Systemwirkungsgrads – inkl. Spulentreiber, induktiver Kopplung und Gleichrichter
Bild 4. Transienter Verlauf des Systemwirkungsgrads – inkl. Spulentreiber, induktiver Kopplung und Gleichrichter – sowie der Eingangsspannung bei einem Lastwechsel am Ausgang des Energieempfängers: Durch Nachführen der Spannung UGL kann der Wirkungsgrad wieder auf den Maximalwert geregelt werden.
© Universität Freiburg

Das sekundärseitige MPPT kann beispielsweise mit der Methode der Lastsprünge (Perturb and Observe) implementiert werden: Die Spannung UGL (siehe Bild 3) wird leicht nach oben verändert (+100 mV), anschließend wird die aus dem Energieübertragungssystem extrahierte Leistung gemessen. Ist diese größer als zuvor, war die Suchrichtung korrekt und UGL wird weiter nach oben korrigiert.

Wird die extrahierte Leistung kleiner, so wird UGL zukünftig um 100 mV verringert. Das System konvergiert schließlich gegen den Punkt maximalen Wirkungsgrads und »schwingt« aufgrund der ständigen Veränderung von UGL um diesen Punkt herum. Bei Änderung der Spulenkopplung wird der Suchalgorithmus schießlich zum neuen Optimum konvergieren.

Limitierend für das vorgestellte Prinzip ist, dass durch den eingangsgeregelten Spannungswandler eine Leistung aus dem induktiven Energieübertragungssystem extrahiert wird, die nicht notwendigerweise der benötigten Leistung der Schaltung entspricht. Hierzu muss entweder Energie zwischengespeichert oder eine Rückkopplung zum Energiesender eingerichtet werden, der seine Leistung P1 je nach Bedarf verringert oder erhöht. Der Verlauf der Pufferspannung UPuf kann hierbei als Maß für die Energiebilanz herangezogen werden. Ferner muss beachtet werden, dass die DC/DC-Wandler der MPPT-Stufe über minimale und maximale Eingangsspannungspegel in ihrem Einstellungsbereich limitiert sind: So gilt:

 

P subscript m i n end subscript space equals space fraction numerator U squared m i n over denominator R subscript L comma space D C. o p t end subscript end fraction space u n d space P subscript m a x end subscript equals fraction numerator U squared m a x over denominator R subscript L comma D C. o p t end subscript end fraction space space space space left parenthesis 4 right parenthesis

 

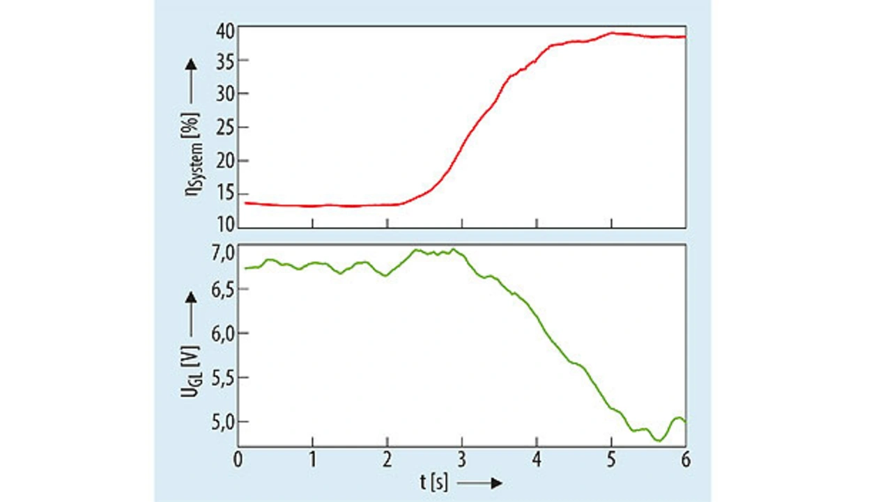
Reaktion der adaptiven Impedanzanpassung bei Variation des Spulenabstands von 20 mm zu 10 mm bei gleichbleibender Last
Bild 5. Reaktion der adaptiven Impedanzanpassung bei Variation des Spulenabstands von 20 mm zu 10 mm bei gleichbleibender Last von ca. 50 mW. Hierbei wird innerhalb von 5 s der Wirkungsgrad auf den höchstmöglichen Wert von 38 % geregelt.
© Universität Freiburg

Ist z.B. das Verhältnis Umax/Umin = 10 V/1 V, so lässt sich ein Leistungsbereich von Pmax/Pmin = (Umax/Umin)² = 100 abdecken.

Für Leistungen außerhalb dieses Bereichs kann keine ideale Impedanzanpassung erreicht werden.

Die praktische Funktionsweise der dynamischen Impedanzanpassung inklusive Leistungsrückkopplung wird in den Bildern 4 und 5 dargestellt:

Die transienten Verläufe zeigen, dass bei Veränderung der Last, im Beispiel von circa 200 mW auf 50 mW, als auch bei Abstandsänderungen, im Beispiel von 20 mm zu 10 mm, der Zustand des höchstmöglichen Wirkungsgrads (wieder-)hergestellt wird.

Primärseite

Auch der primärseitige Spulentreiber gerät aufgrund der veränderlichen Eingangsimpedanz ZE des Energieübertragungssystems aus seinem Arbeitsbereich mit hohem Wirkungsgrad. Eine Nachführung des Arbeitspunkts kann hierbei Abhilfe schaffen. Eine detaillierte Beschreibung dieser Technik findet sich in [3].

Wie in diesem Beitrag gezeigt wurde, hängt der Wirkungsgrad eines induktiven kontaktlosen Energieübertragungssystems maßgeblich von der angeschlossenen Lastimpedanz ab. Eine adaptive Impedanzanpassung kann hierbei durch ein Maximum-Power-Point-Tracking-Verfahren ermöglicht werden, das bei konstanter Eingangsleistung die Spannung am Gleichrichterausgang modifiziert. So wird das Produkt der Teilwirkungsgrade von Leistungsverstärker, Spulenanordnung und Gleichrichter systematisch optimiert. Um die Menge der übertragenen Energie an den Bedarf des zu versorgenden Systems anzupassen, ist ein weiterer Regelkreis mit Rückkopplung im Energieempfänger vonnöten.

 

Literatur

[1] Li, H.; et al.: A Maximum Efficiency Point Tracking Control Scheme for Wireless Power Transfer Systems Using Magnetic Resonant Coupling. IEEE Transactions on Power Electronics, 2015, H. 7, S. 3998–4008.

[2] AirFuel Resonant Wireless Power Transfer (WPT) System Baseline System Specification (BSS). Airfuel Alliance, Online-Version vom 3. Mai 2017.

[3] Stöcklin, S.; et al.: Adaptive Elektronik zur effizienten drahtlosen Energieversorgung biomedizinischer Implantate. 18. GMA/ITG-Fachtagung Sensoren und Messsysteme 2016.

 

Die Autoren

 

 

Prof.-Dr.-Leonhard Reindl von der Universität Freiburg
Prof.-Dr.-Leonhard Reindl von der Universität Freiburg
© Universität Freiburg

Prof. Dr. Leonhard Reindl

studierte Technische Physik an der TU München und pro¬movierte an der TU Wien über einen analogen, extrem schnellen Echtzeitrechner. In der Zentralabteilung „Forschung und Entwicklung“ bei Siemens entwickelte er mikroakustische Komponenten für Mobilfunk- und Radaranwendungen und baute dort das Forschungsgebiet Funkidentifikation und Funksensorik auf.

Seit 2003 ist Rendl Inhaber der Professur für elektrische Mess- und Prüfverfahren am Institut für Mikrosystemtechnik der Universität Freiburg, wo er sich vor allem für eine interdisziplinäre Forschung mit industrienahen Anwen¬dungen einsetzt.

reindl@imtek.uni-freiburg.de

 

Sebastian-Stoecklin von der Universität Freiburg
Sebastian-Stoecklin von der Universität Freiburg
© Universität Freiburg

Sebastian Stöcklin

studierte Mikrosystemtechnik mit Schwerpunkt Circuits and Systems an der Universität Freiburg. Dort promoviert er derzeit an der Professur für Elektrische Mess- und Prüfverfahren als Stipendiat der Fritz-Hüttinger-Stiftung im Bereich der Hochfrequenzsysteme für biomedizinische Implantate.

sebastian.stoecklin@imtek.uni-freiburg.de

 


  1. Adaptive Impedanzanpassung für maximalen Wirkungsgrad
  2. Dynamische Impedanzanpassung auf der Sekundärseite

Lesen Sie mehr zum Thema


Das könnte Sie auch interessieren

Jetzt kostenfreie Newsletter bestellen!

Weitere Artikel zu Universität Freiburg Institute of Computer Science

Weitere Artikel zu Energietechnik