Heimvernetzung

ZigBee und das Internet der Dinge

20. Februar 2014, 15:03 Uhr | Von Ryan Maley
Diesen Artikel anhören

Fortsetzung des Artikels von Teil 1

Stromsparend als Pluspunkt

Im Green-Power-Standard von ZigBee ist berücksichtigt, dass Geräte durch Energy-Harvesting-Quellen statt durch Batterien gespeist werden
Bild 2. Im Green-Power-Standard von ZigBee ist berücksichtigt, dass Geräte durch Energy-Harvesting-Quellen statt durch Batterien gespeist werden. Diese Innovation erleichtert den Einsatz von drahtlosen Sensoren in großen Bereichen.
© ZigBee Alliance

Bei den meisten batteriebetriebenen Geräten wie Bewegungsmeldern, Tür- und Fenstersensoren und Rauchmeldern stellen Kosten und Aufwand für das Auswechseln der Batterien einen erheblichen Faktor dar. ZigBee ist für seine extrem niedrigen Stromverbrauchseigenschaften bekannt. Beispielsweise verlängert ZigBee bei ­Sicherheitssensoren die Laufzeit der Batterie auf über sieben Jahre.

Darüber hinaus hat ZigBee auch die Green-­Power-Funktion (Bild 2) entwickelt, die Geräte durch Energy-Harvesting-Quellen statt Batterien speist, was den Einsatz von drahtlosen Sensoren in großen Bereichen wie Einkaufszentren, Krankenhäusern und Parkgaragen erleichtert. Dies ermöglicht auch das Platzieren von Geräten in entfernten Bereichen, in denen das Auswechseln der Batterien einfach nicht möglich oder nicht kosteneffizient war.

passend zum Thema

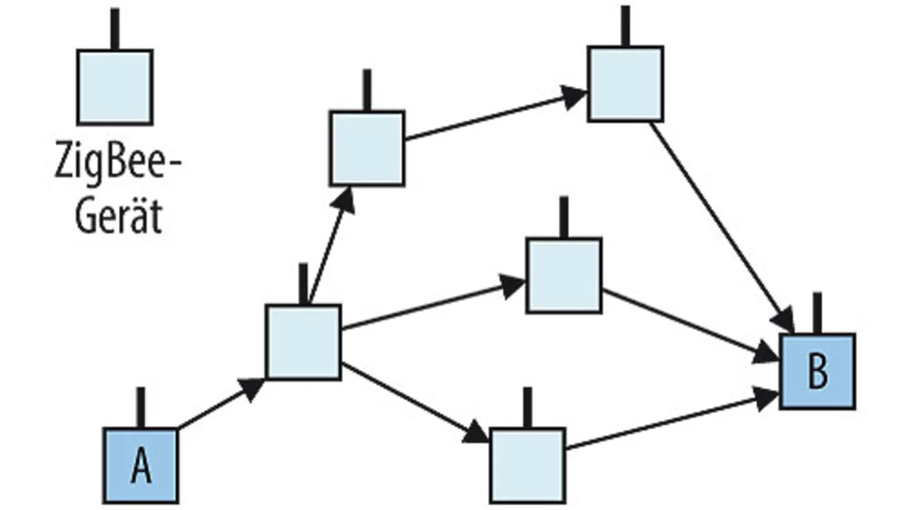
Zuverlässigkeit der Funkverbindung

Jedes Sensornetzwerk muss extrem zuverlässig sein. ZigBee verwendet deshalb ein Mesh-Networking-Verfahren, das mehrere Kommunikations-pfade zwischen Geräten bietet.

Sollte einer der ausgewählten Kommunikationspfade wegen einer Interferenz oder aus einem anderen Grund ausfallen, wählt das Netzwerk einfach einen alternativen Pfad, ohne dass die Benutzer dies überhaupt wissen (Bild 3). Darüber hinaus hat ZigBee ausgezeichnete ­Koexistenz-Kapazitäten selbst in anspruchsvollen und elektromagnetisch gestörten Umgebungen bewiesen.

Die ZigBee-Architektur bietet den Vorteil, mehrere alternative Übertragungswege (hier von Gerät A nach Gerät B) automatisch anbieten zu können
Bild 3. Die ZigBee-Architektur bietet den Vorteil, mehrere alternative Übertragungswege (hier von Gerät A nach Gerät B) automatisch anbieten zu können – sinnvoll beispielsweise bei Störung eines Übertragungsweges.
© ZigBee Alliance

Millionen ZigBee-Geräte wurden schon auf dem Markt in vielen verschiedenen Anwendungsbereichen, wie z.B. der Automatisierung im Wohnbereich, der Haussicherung, bei intelligenten Zähler und in der Verbraucherelektronik, nachweisbar zuverlässig und skalierbar in anspruchsvollen Umgebungen ein­gesetzt. Zum Beispiel verbindet ZigBee über 70.000 Geräte in den mehr als 6.000 Zimmern im Aria-Hotel in Las Vegas und ermöglicht es den Gästen, alles von Beleuchtung, Klimatisierung, Vorhängen, Medien und Türschlössern bis hin zur Minibar zu steuern. Und erst unlängst hat die Connected Lighting Alliance mit GE Lighting, Lutron, Osram, Panasonic, Philips, Toshiba und anderen führenden Lichtunternehmen „ZigBee Light Link“ als bevorzugten gemeinsamen offenen Standard für vernetzte Lichtanwendungen im Wohnbereich ausgezeichnet. Es handelt sich um das erste Mal, dass ein Verbund führender Lichtunternehmen einstimmig einem gemeinsamen offenen Standard für Wireless-Lichtlösungen zugestimmt hat.

Mehr als 40 Millionen intelligente Energiezähler sind auch bereits weltweit mit ZigBee-Technologie installiert sie stehen für eine neue Art, wie Verbraucher, Versorgungsunternehmen und Dienstleister sich als Partner zusammenschließen, um den Energieverbrauch zu steuern, die Umwelt zu schützen und für Verbraucher Geld zu sparen. Und wenn ZigBee in Verbindung mit anderen Funkkonzepten wie z.B. WiFi und Mobilfunk verwendet wird, lässt sich auch ein kleinräumiges Netz an das globale Internet der Menschen und Dinge anschließen und neue Wege schaffen, mit der Umgebung zu interagieren.

Weltweit besteht mittlerweile ein Konsens, dass sich die Vision des Internets der Dinge mit explosiven Wachstumsprognosen in den nächsten Jahren verwirklichen wird. Es wird voraussichtlich viele innovative Anwendungen geben, von denen man noch nicht einmal geträumt hat. ZigBee wird dabei ein wichtiger Technologie-Baustein sein.


  1. ZigBee und das Internet der Dinge
  2. Stromsparend als Pluspunkt

Lesen Sie mehr zum Thema


Das könnte Sie auch interessieren

Jetzt kostenfreie Newsletter bestellen!

Weitere Artikel zu Zigbee Alliance

Weitere Artikel zu Metering