Schott baut Kapazität für Backlight-Gläser aus

26. April 2006, 9:30 Uhr | Susanne Schäfer, Markt&Technik
Diesen Artikel anhören

Fortsetzung des Artikels von Teil 1

Hohe Bandbreite, steile Flanke

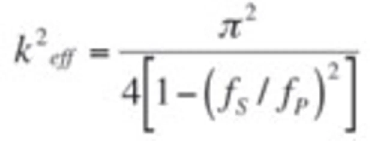
Die große relative Bandbreite der Duplexer-Filter mit gleichzeitig hoher Flankensteilheit erfordert Resonatoren mit enger Kopplung und sehr hohen Gütefaktoren, deren Frequenzverlauf über einen weiten Temperaturbereich extrem stabil sein muss. Die BAW-Dünnschichttechnik kann hier ihre ganze Stärke ausspielen: 2-GHz-BAW-Resonatoren lassen sich in industriellem Maßstab herstellen mit Gütefaktoren größer 1200, effektiven Kopplungsfaktoren k2eff größer 6% und Temperaturkoeffizienten der Frequenz von - 15 ppm/K bis -20 ppm/K. Folgende Gleichung definiert k2eff in Abhängigkeit von der Serienresonanzfrequenz fS und der Parallelresonanzfrequenz fP des Resonators:

formel_01.jpg

Um qualitativ hochwertige Resonatoren für BAW-Filter im Gigahertzbereich zu erhalten, muss die in der piezoelektrischen Schicht angeregte Volumenwelle am Verlassen des Resonators gehindert werden. Dazu wurden bisher zwei grundsätzlich verschiedene technische Ansätze verfolgt.

Im ersten Fall wird eine dünne Membran hergestellt, die aus der für einen BAW-Dünnschichtresonator notwendigen Abfolge von zwei Elektrodenschichten mit dazwischen liegender piezoelektrischer Schicht besteht. Diese Membran wird nur an den Kanten mechanisch gestützt, zum Beispiel durch ein Trägersubstrat wie Silizium. Nach oben und unten wird die Membran durch einen Luftspalt abgeschlossen, sodass die akustische Volumenwelle an dem Übergang von den Elektrodenschichten zur Luft reflektiert wird. Dieser auch als »Membrantyp« bezeichnete BAW-Resonator wird üblicherweise BAW-FBAR oder auch nur FBAR (Film Bulk Acoustic Resonator) genannt.

Anleihe aus der Optik

Im zweiten Fall greift man auf die aus der Optik bekannte Technik (Bragg-Spiegel) zurück, bei der Lichtwellen an gestapelten dünnen Schichten reflektiert werden, deren Dicken ungefähr einem Viertel der Lichtwellenlänge entsprechen. Dazu wird der eigentliche BAW-Dünnschichtresonator mit der Abfolge Elektrode-Piezoschicht-Elektrode durch eine Sequenz aus weiteren dünnen Schichten mit abwechselnd niedriger und hoher akustischer Impedanz unterstützt. Diese Schichten wirken als akustische Reflektoren – auch als akustischer Spiegel bezeichnet – und entkoppeln den Resonator akustisch vom Trägersubstrat (Bild 2). Die akustische Impedanz Z einer Schicht ist dabei definiert als Z = ρ • v, wobei ρ die Dichte und v die Ausbreitungs- oder Schallgeschwindigkeit der akustischen Welle bezeichnen. Der auf diese Art hergestellte BAW-Resonator wird als »Solidly-Mounted-Resonator« oder BAW-SMR bezeichnet.

Sowohl für BAW-FBAR als auch BAW-SMR definiert der intrinsische Kopplungskoeffizient kt2 des piezoelektrischen Materials den Abstand zwischen den für einen solchen Resonator charakteristischen Resonanz- und Antiresonanzfrequenzen. Dieser Abstand beeinflusst über die Ladder-Type-Filtertopologie direkt die erzielbare Bandbreite des Filters. Darüber hinaus ist die Dicke der piezoelektrischen Schicht umgekehrt proportional zur Resonanzfrequenz des Resonators. Wenn der Resonator als ein elektrisches Ein-Tor-Bauelement betrachtet wird, verhält sich der BAW-Resonator außerhalb seines Resonanzbereichs wie ein Plattenkondensator. Dessen Kapazität ist damit auch abhängig von der Dicke der piezoelektrischen Schicht, ihrer Dielektrizitätskonstante sowie der Überlappungsfläche von oberer und unterer Elektrode.

Für Filteranwendungen mit hohen Leistungsübertragungen und geringen Einfügedämpfungen müssen die Verluste innerhalb des Resonators begrenzt werden. Sie können ihren Ursprung darin haben, dass den im Resonator gefangenen akustischen Wellen Energie verloren geht, etwa durch sich nicht ideal elastisch verhaltende Materialien (viskose Verluste), durch Streuungen an Schichtübergängen sowie durch Leckverluste in unerwünschte Nebenmoden.

Die FBAR- und SMR-Technik als Basis zur Fertigung von BAW-Resonatoren haben unterschiedliche Stärken: Bei FBAR ermöglicht die Schichtabfolge der Membranstruktur potenziell eine stärkere Ankopplung sowie höhere Güten. SMR dagegen bieten hohe mechanische Robustheit, eine gute Wärmeableitung sowie bessere Temperaturkoeffizienten.

Bild_02__8319f2_01.jpg
Bild 2 Der Schnitt durch ein BAW-Filter zeigt, dass die verwendete Technik in etlichen Prozessschritten der Halbleiterfertigung sehr ähnlich ist

Epcos hat sich für SMR entschieden, weil dabei in zahlreichen Prozessschritten auf Standard-Dünnschichttechnik aus der Halbleiterfertigung zurückgegriffen werden kann. Bild 2 zeigt den schematischen Querschnitt des Resonators mit dem akustischen Reflektor, wobei die beiden für das Ladder-Type-Design benötigten Serien- und Parallelresonatoren dargestellt sind. Als Trägersubstrat dienen 200-mm-Silizium-Wafer, die einen hohen ohmschen Widerstand aufweisen. Der Reflektorstapel besteht aus zwei Paar Spiegelschichten, bei denen jedes Paar aus einer Metallschicht mit hoher akustischer Impedanz sowie einer dielektrischen Schicht mit niedriger akustischer Impedanz besteht. Um parasitäres Übersprechen zwischen Reflektoren unterschiedlicher Resonatoren zu vermeiden, müssen die Metallschichten im Reflektor die gleiche geometrische Form aufweisen wie die Resonatorelektroden. Das im Ladder-Type-Design erforderliche Verschieben der Resonanzfrequenz des Parallelresonators wird mit Hilfe einer zusätzlichen Tuningschicht erzielt, die als mechanischer Massebelag dessen Resonanzfrequenz verringert. Eine schützende Passivierungsschicht aus dielektrischem Material bedeckt die Oberseite des Resonators. Der BAW-spezifische Prozessschritt ist das Aufbringen der piezoelektrischen Schicht aus Aluminiumnitrit durch ein Sputter-Verfahren.

Bild 3 zeigt die auf dem Wafer vorgenommene elektrische Messung eines Duplexer-Sendefilters. Bei einem absoluten Pegel von -3 dB wird die Anforderung nach einer Bandbreite von 60 MHz erfüllt, wobei die minimale Einfügedämpfung 1,3 dB beträgt.

Bild_03__7d6af5_02.jpg
Bild 3 Die minimale Einfügedämpfung des TX-Pfads auf Wafer-Ebene liegt bei 1,3 dB

Epcos integriert die Filter in ein Duplexer-Bauelement mit einer in der OFW-Fertigung erprobten Backend-Integrationstechnik. Innerhalb der letzten Jahre hat der Hersteller unter der Bezeichnung »CSSP« einen eigenen Chip-Size-Gehäuse-Prozess für OFW entwickelt, der eine zuverlässige Integration der Filterkomponenten in HF-Module und Duplexer ermöglicht. Diese Technik nutzt ein keramisches Trägermaterial, auf das sich diskrete Bauelemente montieren und auf dem sich OFW-Chips mit Hilfe von Lötkugeln im Flip-Chip-Verfahren befestigen lassen. Bei den BAW-Duplexern nutzt Epcos seine Erfahrungen im Bereich des elektromagnetischen Designs von CSSP-Keramikträgern aus LTCC (Low Temperature Co-fired Ceramics) mit geringer Grundfläche, um die erforderliche Übertragungsleitung und die Induktivitäten in einer Trägerplatte mit einer Grundfläche von 3,8 mm x 3,8 mm zu integrieren. Die wesentliche Herausforderung bestand darin, das erhöhte Übersprechen zu vermeiden, welches die Entkopplung zwischen Sende- und Empfangspfad vermindert.

Bild 4 zeigt die gemessenen Frequenzcharakteristika des Duplexers. Die typische Einfügedämpfung in den Durchlassbereichen beträgt 2,5 dB für TX zur Antenne sowie 3,0 dB für RX. Im Pfad vom Sender zur Antenne ist die Einfügedämpfung innerhalb des Bands eindeutig nicht der begrenzende Faktor, sondern die zu großen Roll-offs an den Filterflanken. In dem Signalpfad von der Antenne zum Empfänger ist der Gesamtdämpfungspegel auf Grund der zusätzlichen halben Stufe in der Ladder-Type-Topologie des Empfangsfilters größer. Die typische Unterdrückung des Empfangssignals im Sendeband beträgt 52 dB, die Unterdrückung des Sendesignals im Empfangsband liegt bei 48 dB.

Epcos
Telefon 0 89/636-22471
www.epcos.de

Autoren

Dr. Habbo Heinze ist Product Development Manager und Dr. Edgar Schmidhammer ist Product Development Director für SAW Mobile Communication, Dr. Christian Diekmann ist Senior Manager und Dr. Thomas Metzger ist Vice President im Bereich SAW Front-End Operations, alle bei Epcos

Ralf Higgelke, DESIGN&ELEKTRONIK

Bild_04__dd7dfe_02.jpg
Bild 4 Im amerikanischen CDMA-System liegen TX (1850 MHz bis 1910 MHz, blau) und RX (1930 MHz bis 1990 MHz, rot) nahe beieinander

  1. Schott baut Kapazität für Backlight-Gläser aus
  2. Hohe Bandbreite, steile Flanke

Jetzt kostenfreie Newsletter bestellen!