Dynamische Systeme analysieren

Bode-Diagramm erweitert die Oszilloskop-Anwendung

14. Juni 2022, 12:05 Uhr | Nicole Wörner
Will man das Übertragungsverhalten dynamischer Systeme analysieren, ist das Bode-Diagramm das Mittel der Wahl
© Rigol

Für die Analyse des Übertragungsverhaltens dynamischer Systeme ist das Bode-Diagramm das Mittel der Wahl. Es zeigt Phasen- und Verstärkungsschwankungen bei verschiedenen Frequenzen auf und verdeutlicht, ob das System stabil läuft. Integriert in ein Oszilloskop entsteht damit ein echter Mehrwert.

Diesen Artikel anhören

Von Boris Adlung, Rigol Technologies Europe

In fast jeder elektronischen Schaltung kommen Filter für die unterschiedlichsten Frequenzbereiche – von wenigen Hertz bis in den höheren HF-Bereich – zum Einsatz. Ein Filter lässt im Frequenzband Signale eines Bereichs durch und sperrt einen anderen Bereich. Tiefpass-, Hochpass- und Bandpassfilter sowie Bandsperren können dafür entweder analog oder digital erzeugt werden, und auch für höhere Frequenzen lassen sich Filter mittels Mikrostreifenleiter, Hohlleiter oder Koaxialkabel erzeugen. Weil beispielsweise im Audiobereich ein rauscharmer Frequenzgang wünschenswert ist, werden die höheren Frequenzen entsprechend herausgefiltert und somit das Rauschen verringert. Ein weiteres wichtiges Beispiel ist die Filterung vor einer Analog/Digital-Wandlung, da höhere, nicht benötigte Frequenzen Aliasing-Effekte erzeugen können, die sich wiederum in höherem Rauschen auswirken können. In der HF-Übertragung wird vor der Übertragung das Basisbandsignal mittels eines Mischers auf einen Träger aufmoduliert. Hierbei entstehen neben unerwünschten Mischprodukten auch Spiegelfrequenzen, die herausgefiltert werden müssen, bevor das Signal verstärkt und übertragen wird.

Ein sehr bekanntes Beispiel ist der Einsatz des Filters in der Telefonie. Hierbei wird der analoge Frequenzbereich (Sprache) von 300 bis 3400 Hz übertragen, mit 8 kHz abgetastet und digitalisiert. Das Audiosignal, das unsere Sprache überträgt, wird also vom Telefon mit einem Bandpassfilter gefiltert. Hier gilt es ebenfalls, Aliasing-Effekte, die durch Fehlabtastung höherer Frequenzanteile entstehen können, zu minimieren. Ein Nebeneffekt besteht darin, dass nicht alle Sprachfrequenzen durchkommen und sich die Sprache am Telefon »gefiltert« anhört. Ein weiteres Beispiel in der Telefonie bietet der Splitter, der bei der DSL-Technologie zum Einsatz kommt. Hierbei wird der Frequenzbereich für die analoge oder digitale Telefonie (Signalisierung und Sprache) einerseits und für die digitalen Daten für die Internetnutzung (DSL) andererseits aufgeteilt. Diese können dann mithilfe des jeweiligen Filters herausgefiltert und genutzt werden.

Welche Messgeräte eignen sich?

Um Bauelemente wie Filter gerade während des Designs effektiv abstimmen zu können, ist neben der Berechnung und der Optimierung über geeignete Software auch der Einsatz von Messtechnik nötig. Für hochfrequente Anwendungen eignen sich Spektrumanalysatoren (z. B. Rigols DSA800-Serie) oder Vektornetzwerkanalysatoren, kurz VNA, wie etwa die RSA3000N-Serie von Rigol. Allerdings eignen sich herkömmliche Spektrumanalysatoren nicht für den niedrigfrequenten Bereich, weil sie einerseits meist einen Startfrequenzbereich von 9 kHz haben bzw. der benötigte Mitlaufgenerator erst ab 100 kHz startet. Andererseits ist bei Analysatoren mit dem Überlagerungsprinzip keine Vermessung der Phase über den Frequenzbereich möglich. Während das zweite Problem mit einem VNA gelöst werden kann, bleibt das erste Problem ungelöst.

Eines der hilfreichsten Werkzeuge, um die Übertragungscharakteristik eines Bauteils darzustellen, ist das Bode-Diagramm.

Was ist ein Bode-Diagramm?

Das Bode-Diagramm wurde Ende der 30er-Jahre von Dr. Hendrik Wade Bode während seiner Arbeit für die Bell-Labs in den USA entwickelt, um die Arbeiten an breitbandigen Bauelementen besser darstellen und beurteilen zu können. Das Diagramm ist bezogen auf die Verstärkung eine voll- logarithmische Darstellung und bezogen auf die Phase eine halb-logarithmische Darstellung. Das heißt, bei der Verstärkung wird sowohl die Y-Achse für die Amplitudendifferenz als auch die X-Achse für die Frequenz logarithmisch dargestellt. Hier lassen sich auch kleinste Änderungen über einen sehr großen Frequenzbereich darstellen. Bei der Phasendarstellung wird die Y-Achse in Grad [°] abgebildet. Hiermit können nicht nur Filter, sondern auch zum Beispiel Operationsverstärkerschaltungen oder Regelkreise vermessen werden.

Oszilloskop mit Bode-Plot-Funktion

Rigol bietet mit dem Oszilloskop der Serie MSO5000 und der Bode-Plot-Funktion eine optimale Lösung an, um genau für den unteren Frequenzbereich von 10 Hz bis 25 MHz diese Tests durchzuführen. Hierfür kann man beim MSO5000 einen der beiden AWG-Generatoren-Ausgänge (25 MHz / 200 MSamples/s / 14 bit) nutzen. Diese Generatoren bieten auch eine Ausgabe arbiträrer Signale von einer Länge bis zu 16 kpts sowie viele integrierte Basiswellenformen und analoge Modulationsarten an. Mit der Arbiträrfunktion können auch gemessene Signale, die auf dem Display zusehen sind, in den Generator geladen und im Gerät abgespeichert werden, um diese konstant für weitere Analysen auszugeben.

Der Bode-Plotter ist ein sehr nützliches Werkzeug, um das Frequenzverhalten einer Schaltung (wie die eines Filters) darzustellen. Zum einen lassen sich diese Kurven in Ortskurven, die die Betrags- und Phaseninformation enthalten, darstellen. Für ein besseres Verständnis dient aber auch die Visualisierung über den Frequenzbereich. Hierbei können die Änderung der Spannungsamplitude sowie auch das Phasenverhalten in zwei getrennten Kurven angezeigt und vermessen werden, was man auch als Frequenzkennlinienverfahren beschreiben kann. Bei der MSO5000-Serie werden aus einem der beiden AWG-Ausgänge harmonische AC-Signalfrequenzen (Sinus-Signale) ausgegeben. Es werden Frequenzen mit einem definierten Frequenzabstand erzeugt, die einen vorgegebenen Frequenzbereich abdecken. Der Frequenzbereich wird logarithmisch dargestellt, damit ein großer Frequenzbereich übersichtlich dargestellt werden kann und um eine gute Übersicht zu erhalten. Die vertikale Darstellung der Amplitudenvariation (also die positive oder negative Verstärkung des Übertragers) wird in dB angegeben (Formel 1).

Rigol Formel 1
Formel 1
© Rigol Technologie

Die Phasenänderung wird (nicht-logarithmisch) in Grad [°] angegeben. Der Ausgang des Generators kann mit einem Powersplitter getrennt werden und wird zum einen an den analogen Eingang 1 des Oszilloskops und zum anderen an das Messobjekt (zum Beispiel einen Filter) angeschlossen.

Blockdiagramm der Bode-Plot-Vermessung mit dem Rigol-Oszilloskop der Serie MSO5000
Bild 1: Blockdiagramm der Bode-Plot-Vermessung mit dem Rigol-Oszilloskop der Serie MSO5000.
© Rigol Technologie

Der Ausgang des Filters wird am analogen Eingang 2 angeschlossen. Mit Kanal 1 und Kanal 2 und dem Sinus-Sweep über den Frequenzbereich des MSO5000-Generators ist jetzt die Übertragungsfunktion darstellbar. Der Aufbau der Messung ist in einem Blockdiagramm in Bild 1 dargestellt.

Um die Funktionen des Bode-Diagramms in der Oszilloskop-Serie MSO5000 zu beschreiben, wird wieder als Beispiel ein einfacher Filter verwendet. Wie oben bereits beschrieben, kann ein Filter einen Teil des Frequenzbandes sperren und einen Teil durchlassen. Als Beispiel ist in Bild 2 ein Tiefpassfilter dargestellt. Dieser lässt alle Frequenzanteile von einem niedrigen Frequenzbereich, z. B. 0 Hz bis zur oberen Grenzfrequenz, durch und sperrt alle höheren Frequenzanteile.

Amplituden- und Phasenverlauf eines einfachen Tiefpassfilters erster Ordnung
Bild 2: Amplituden- und Phasenverlauf eines einfachen Tiefpassfilters erster Ordnung.
© Rigol Technologie

In Bild 2 ist die Frequenzantwort der Amplitude sowie der Phasenverlauf über dem Frequenzbereich des Tiefpassfilters charakterisiert. Diese Informationen beschreiben den komplexen Zusammenhang des Filters über der Frequenz, der durch die induktiven und/oder kapazitiven Bauelemente im Filter entstehen. Die Grenzfrequenz wird in diesem Beispiel durch die 3-dB-Absenkung oder durch die Phasenlage des Filters bei -45° definiert. Bei dem Filterentwurf können beide Werte durch die genaue Einstellung der passiven Bauelemente wie Widerstände, Induktivitäten oder Kapazitäten erreicht werden. Bis ca. 100 kHz kann man dabei zum Beispiel einfache RC-Glieder verwenden. Höhere Frequenzbereiche werden unter anderem mit RLC-Gliedern umgesetzt. Diese Bauelemente können auch mit aktiven Elementen wie einem Verstärker genutzt werden, wenn die Ausgangsamplitude des Durchgangs höher sein soll als die Eingangsamplitude.

Rigol Formel 2
Formel 2
© Rigol Technologie

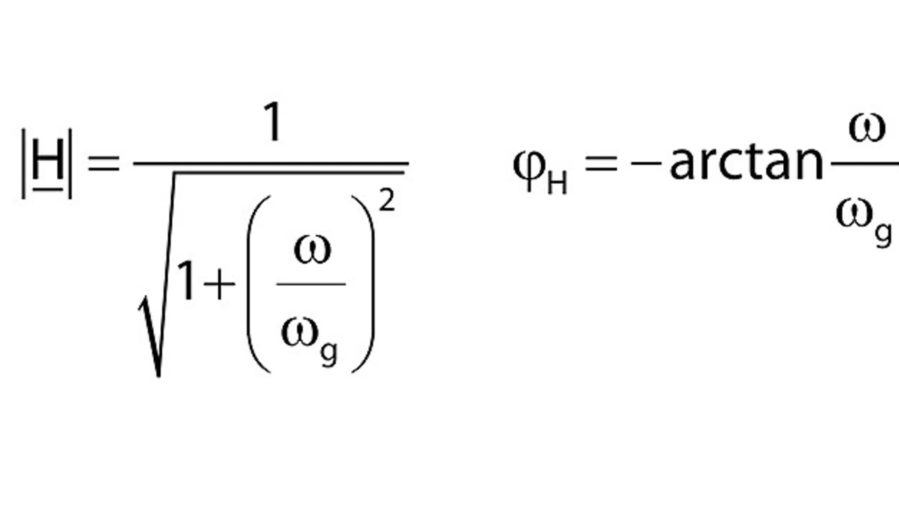
Mathematisch lässt sichdie Übertragungsfunktion zum Beispiel bei einem einfachen RC-Tiefpassfilter erster Ordnung folgendermaßen beschreiben (Formel 2). An Formel 2 ist zu erkennen, dass sich durch die Auswahl des Widerstandes [R] und der Kapazität [C] die Grenzfrequenz des Filters definieren lässt. Aus Formel 3 lässt sich der Betrag und der Winkel für den RC-Tiefpass erster Ordnung berechnen, was dann auch der Kurve aus Bild 2 entspricht.

Rigol Formel 3
Formel 3
© Rigol Technologie

Phasenspanne und Verstärkerspanne

Bei dem Bode-Diagramm lassen sich unterschiedliche Parameter herausmessen. Einer dieser Parameter ist die Phasenspanne (Phase Margin, PM). Die PM beschreibt den Phasenabstand oder die Phasenreserve von 0° bis zum realen Messpunkt bei der Position, bei der die Verstärkung 0 dB be- trägt – also die Eingangsamplitude denselben Wert hat wie die Ausgangsamplitude. Bei einigen Übertragungssystemen können diese Parameter sehr wichtig sein. Wenn zum Beispiel die PM sehr klein ist, können je nach Funktion Bauelemente eine ungewollte oszillierende Eigenschaft annehmen. Je höher der Wert ist, desto höher ist die Stabilität. Ein weiterer Parameter beschreibt die Verstärkerspanne (Gain Margin, GM). Die GM ist ähnlich wie die PM ein Maßstab für die relative Stabilität.

Vermessung von PM und GM mit der Bode-Diagramm-Darstellung des MSO5000
Bild 3: Vermessung von PM und GM mit der Bode-Diagramm-Darstellung des MSO5000.
© Rigol Technologie

Hier wird bei einer Phasenlage von 0° die Amplitudendifferenz oder die Amplitudenreserve zu 0 dB gemessen und beim Bode-Diagramm automatisch markiert und als Messwert dargestellt. Auch hier kann es je nach Übertragungssystem sein, dass – wenn dieser Wert sehr klein ist – sich dieser ebenfalls wie ein Oszillator auswirkt. Auch in diesem Fall gilt: Je höher dieser Wert ist, desto besser ist auch die Stabilität. Beide Werte sind in Bild 3 an einer Beispielmessung dargestellt.

Bei einigen Schaltungen, in denen zum Beispiel Verstärker verwendet werden, können zu geringe Amplituden ein falsches Ergebnis erzeugen, weil die Ausgangsamplitude zu klein ist, um einen auswertbaren Verstärkungswert zu erzeugen. Hierfür müsste die Eingangsamplitude erhöht werden, was den Nachteil hat, dass der frequenzabhängige Verstärker bei einem anderen höheren Frequenzband in Sättigung gehen kann und dann wiederum das Signal am Ausgang verzerrt wird. Um das Problem zu beheben, bietet das MSO5000 eine Amplitudenvariation über den Frequenzbereich an. Das heißt, in solch einem Fall kann der Anwender in den unteren Dekaden eine höhere Eingangsamplitude einstellen und bei den höheren Frequenzen einen niedrigeren Amplitudenwert.


  1. Bode-Diagramm erweitert die Oszilloskop-Anwendung
  2. Elementar wichtig ist der richtige Tastkopf


Lesen Sie mehr zum Thema


Das könnte Sie auch interessieren

Boris Adlung, Rigol: »Bei den Multikanal-Mikrowellengeneratoren DSG5000 handelt es sich um ein technisches Meisterwerk der Ingenieurskunst.«

Interview mit Boris Adlung, Rigol

»Der Bedarf an HF-Signalgenerierung wächst immens«

Mikrowellensignale bis 20 GHz erzeugen die neuen Generatoren der Serie DSG5000 von Rigol.

Multikanal-Mikrowellengeneratoren

Hochgenaue Signalerzeugung bis 20 GHz

Im Dialog mit Kunden kristallisieren sich die wichtigsten Anforderungen an ein Oszilloskop heraus.

Tektronix setzt auf Anwender-Feedback

Was Kunden von ihrem Oszilloskop wirklich erwarten

Boris Adlung, Rigol, im Gespräch mit Nicole Wörner, WEKA Fachmedien..

Video-Interview mit Rigol

»Diese Plattform ist etwas ganz Besonderes für uns«

Hochkarätige Interviewpartner finden sich auf der VIP-Bühne der WEKA FACHMEDIEN ein.

embedded world 2022

Messtechnik auf der VIP-Bühne

High-Resolution-Oszilloskope SDS2000X HD von Siglent sind als 4-Kanal-Geräte in den Bandbreiten 100, 200 und 350 MHz erhältlich.

Neue Oszilloskop-Serie von Siglent

Jetzt mit 12 bit Vertikalauflösung

Oszillator

Mixed-Signal-Oszilloskop

Tektronix stellt Serie 2 vor

Rohde-&-Schwarz-Oszilloskope der Serie RTP und Signal- und Spektrumanalysatoren der Serie FSW treten den Vergleich an.

Welches Messgerät für welche Anwendung

Oszilloskop oder Signal- und Spektrumanalysator?

Testen - Testen - Testen

Advertorial

Testen – Testen - Testen

Spectrum Instrumentation PCIe-Digitizer

PCIe-Digitizer von Spectrum

Bahnbrechende 12,8 GB/s Daten-Streaming

Flexible Auflösung von 8 bis 16 bit plus  SureConnect- und CMI-Technologie: HS6-Oszilloskope von TiePie.

Plug-in Electronic / TiePie Engineering

USB-3.0-Oszilloskoptechnik weitergedacht

Höhere Bandbreite, schnellere Abtastrate, mehr Speicher - die neuen StationMax-DS70000-Oszilloskope von Rigol gibts jetzt bei Meilhaus

Neu im Meilhaus-Portfolio

Vom Scope zur Oszilloskop-Workstation

Kailash Narayanan, Keysight:

5G, 6G & Co. im Jahr 2026 und 2031

Die Konnektivität der Zukunft - das erwartet uns

Die MSO-5B-Oszilloskope sind werden mit 4,6 und 8 analogen Eingängen angeboten. Die Bandbreite reicht bis 2 GHz und alle Modelle arbeiten mit einem 12-bit-ADC.

Tektronix

Oszilloskopfamilie MSO 5 erweitert

Unter dem Namen StationMax wurden bei Rigol neue Chipsätze und Hardwareplattformen entwickelt mit höhere Bandbreite, schnellere Abtastrate und deutlich mehr Speicher. Das erste Oszilloskop DS70000 mit neuer Hardware für industrielle Entwickler

Neue Oszilloskope für F&E-Aufgaben

Schneller mit StationMax

Neu im T3-Portfolio: Die neuen Oszilloskope der Serie T3DSO3000 von Teledyne LeCroy

Teledyne LeCroy

Neue Oszilloskop-Serie für das T3-Portfolio

Boris Adlung, Rigol, im Video-Interview mit Markt&Technik-Redakteurin Nicole Wörner.

Video-Interview mit Rigol

»Das sind Meilensteine in Rigols Firmengeschichte«

Unter dem Namen StationMax wurden bei Rigol neue Chipsätze und Gerätearchitekturen entwickelt. Das DS70000 ist das erste Oszilloskop, in dem sie eingesetzt werden und wird daher vom Hersteller der Gerätereihe StationMax zugeordnet.

Neue High-End-Oszilloskope von Rigol

Mit neuem Chipsatz und neuer Architektur

Unter dem Namen StationMax wurden bei Rigol neue Chipsätze und Gerätearchitekturen entwickelt. Das DS70000 ist das erste Oszilloskop, in dem sie eingesetzt werden und wird daher vom Hersteller der Gerätereihe StationMax zugeordnet.

Neue Leistungsklasse für Rigol

Oszilloskop-Serie DS70000

Oszilloskop der MSO8000-Serie von Rigol.

Oszilloskope

Das Embedded-System fest im Blick

All inclusive: Die MSO8000-Serie von Rigol

Echtzeit-Augendiagramm und Jitteranalyse

Multifunktionelle Oszilloskope

Rigol_Aufmacher

Die Vermessung der Welt der Netzteile

Leistungsanalyse mit dem MSO5000

Für 227 Euro erhalten Anwender des neuen Zweikanal-Oszilloskops DS1102Z-E von Rigol einen Allrounder für vielfältige Aufgaben.

Rigol

Oszilloskop für die Einstiegsklasse

Boris Adlung, Rigol, beantwortet im Gespräch mit Markt&Technik-Redakteurin Nicole Wörner die Fragen der Leser.

Video: Leser fragen – Experten antworten

Blick hinter die Fassaden der Oszilloskope