Regelungstechnische Optimierung komplexer Bewegungssteuerungen

Automatischer Abgleich von Antriebsregelkreisen

23. September 2006, 15:25 Uhr | Jacob Hefer

Bei Steuerungen von Mehrachssystemen mit komplexen Bewegungen wird die Feinabstimmung dieser Systeme zu einer Herausforderung. Elmo Motion Control hat ein Verfahren entwickelt, bei dem sich mit Hilfe einer speziellen Software auf schnelle und effiziente Weise die optimalen Test- und Leistungsparameter für spezifische Anwendungen bestimmen lassen.

Diesen Artikel anhören

Regelungstechnische Optimierung komplexer Bewegungssteuerungen

Bei Steuerungen von Mehrachssystemen mit komplexen Bewegungen wird die Feinabstimmung dieser Systeme zu einer Herausforderung. Elmo Motion Control hat ein Verfahren entwickelt, bei dem sich mit Hilfe einer speziellen Software auf schnelle und effiziente Weise die optimalen Test- und Leistungsparameter für spezifische Anwendungen bestimmen lassen.

Wenn die Aufgabe einer Bewegungssteuerung darin besteht, die Bewegung eines Systems von Punkt A zu Punkt B durchzuführen, dann kann dieses System durch die Auswertung der Sprungantwort optimiert werden. Sollen jedoch komplexe Mehrachssysteme mit geglätteten, ruckfreien Bewegungsprofilen angesteuert werden, wird es erforderlich, entsprechend komplexere Eingangssignale vorzugeben und auszuwerten. Für nichtlineare Systeme wird die Dynamik um einen stabilen Arbeitspunkt mit der Randbedingung linearisiert, so dass aus einer sinusförmigen Sollwertvorgabe stets ein sinusförmiges Ausgangssignal mit nahezu der gleichen Frequenz resultieren sollte. Für derart komplexe Operationen bedarf es eines ausgeklügelten Verfahrens für den automatischen Abgleich (Auto Tuning); nur so lassen sich damit elektromechanische Systeme effizient und zuverlässig abgleichen, damit sie auch unter größter Beanspruchung die geforderte Stabilität aufweisen.

Das hier vorgestellte Verfahren für die automatische Regleroptimierung eines »Motion Control«-Systems teilt den Entwurfsprozess in drei Stufen: Identifikation des Systems, Entwurf des Reglers und Test des Regelsystems im geschlossenen Regelkreis. Die Identifikation wird dabei in zwei Einzelschritten vollzogen:

In der ersten Phase wird ein schmalbandiger Regler so festgelegt, dass danach in der zweiten Phase der Identifikation das Driften des Motors verhindert wird. Nach der Auswahl des schmalbandigen Reglers wird die Übertragungsfunk-tion der Strecke nach einer umfangreichen Liste vorgegebener Frequenzen bestimmt. Um diesen Schritt durchführen zu können, wird der Motor mit einer Abfolge von Sollwertvorgaben mit verschiedenen Frequenzen angesteuert; die jeweilige Antwort des Motors wird gemessen. Die Übertragungsfunktion der Strecke kann auf Grund der Messergebnisse für den jeweiligen Frequenzbereich berechnet werden. Für diesen Schritt darf der eingespeiste Strom den maximal zulässigen Motorstrom nicht überschreiten. Da die Strecke Energie absorbiert – bei einer Resonanzfrequenz führt dies zu mechanischen Schwingungen – muss der maximal erlaubte Dauer- und Spitzenstrom vom Anwender vorab festgelegt werden, um Beschädigungen am Motor zu vermeiden. Zwei verschiedene Betriebsarten erlauben nochmals eine Unterscheidung zwischen Systemen mit freidrehender Welle und solchen mit eingeschränktem Bewegungsbereich. So lassen sich jeweils die optimalen Sollwertvorgaben für den gesamten Dynamikbereich aussteuern.

0013-bild1.gif
Bild 1. Geschwindigkeitsregelkreis eines Servosystems; die Sollwertvorgabe wird am Eingangsknoten mit der Istgeschwindigkeit verglichen.

Der zweite Schritt des Optimierungsverfahrens dient dem Entwurf des Reglers. Hier berechnet das Programm die Parameter des Regelalgorithmus. Das Programm kann dabei folgende Reglertypen berechnen:

  • Geschwindigkeitsregler, bei dem das System einer Geschwindigkeitsvorgabe folgt (Bild 1). Das System benötigt dabei einen PI-Regler und einen Tiefpass. Das »Auto Tuner«-Programm fügt, wenn notwendig, automatisch ein Notch-Filter ein – ein spezielles Band-Stopp-Filter mit geringer Bandbreite.
  • Lageregler, bei dem das System einer Positionsvorgabe folgt (Bild 2). Dieser Regler verwendet die Information der Position und ihrer Ableitung, der Geschwindigkeit, für die Sollwertvorgabe. Der Lageregler besteht aus einem PIP-Regler und aus einem Tiefpassfilter. Der PIP-Regler baut auf dem PI-Geschwindigkeitsregler auf und regelt die Position entsprechend nur noch als P-Regler proportional ein; er ist daher einfacher zu handhaben als ein PID-Regler. Auch hier fügt das Programm bei Bedarf ein Notchfilter ein.
  • Zweikreisregler, beim dem für den inneren Regelkreis eine Geschwindigkeitsregelung, für den äußeren Regelkreis eine Lageregelung aufgebaut wird (Bild 3). Für den inneren Regelkreis wird, wie oben beschrieben, ein Geschwindigkeitsregler eingesetzt, während der äußere Regelkreis mit einem einfachen Proportionalverstärker und einem PI-Filter realisiert wird. Der Standard-Geschwindigkeitsregler bekommt seine Sollwertvorgaben dabei von einem externen Lageregler, verwendet aber weiterhin die aus der Ableitung seines internen Positionsgebers gewonnenen Ist-Geschwindigkeiten für die PI-Regelung.

Ein guter linearer Reglerentwurf zeichnet sich dadurch aus, dass er

  • den Aufwand für die Regelung minimiert,
  • die Strecke mit einem kleinen Strom ansteuert, um den Einfluss des Sensorrauschens zu begrenzen,
  • gegenüber Offsetschwankungen der Strecke unempfindlich ist und
  • die geeigneten Amplituden- und Phasenrandwerte aufweist, mit denen die Anforderungen der Anwendung erfüllt werden.

0013-bild2.gif
Bild 2. Beim Lageregelkreis folgt das System vorgegebenen Positionswerten.

Darüber hinaus sollte der Regler bei einem guten linearen Design mit zwei typischen »linearen« Phänomenen fertig werden: dem Überschwingen und dem Rauschen im Grenzbereich. Zu großem Überschwingen und damit zum Stabilitätsverlust kommt es, wenn der Motorstrom in Sättigung gerät. Wenn eine Sättigung eintritt, muss sich der Regler schnell wieder »erholen«. Das Rauschen führt bei niedrigen Geschwindigkeiten zu Problemen. Bei hohen Geschwindigkeiten kann der Positionsgeber als Tachometer genutzt werden, um den Motor unter Last zu stabilisieren; ist das Rauschen zu groß, so wird bei niedrigen Geschwindigkeiten der so realisierte Geschwindigkeitsregelkreis instabil. Um dies zu umgehen, generiert der »Auto Tuner« des hier vorgestellten Programms deshalb geschwindigkeitsabhängige Regelparameter, die in einer »Gain Scheduler«-Tabelle abgelegt werden. Dabei werden bis zu 63 geschwindigkeitsabhängige Regelparametersätze eingesetzt, die während des Betriebs »on the fly« umgeschaltet werden.

0013-bild3.gif
Bild 3. Bei der Zweikreisregelung regelt der innere Regelkreis die Geschwindigkeit des Motors, der äußere Regelkreis folgt der Positionssollwertvorgabe.

Im dritten Schritt des automatischen Feinabgleichs werden die Tests durchgeführt. Hier wird der Motor unter Berücksichtigung der vom Anwender vorgegebenen Parameter für die Stromsättigung und des Bereichs des Drehwinkels betrieben. Das Programm berechnet automatisch die Parameter für die Bewegungabläufe und für die Stromgrenzwerte, die bei 50 Prozent des Sättigungswertes liegen. Danach kann der Anwender mit diesen Parametern oder mit anderen, selbst gewählten Parametern Tests durchführen. So kann er beispielsweise die empfohlene Amplitude der Testsignale vergrößern, um zu sehen, wie sich der Regler im Bereich der Sättigung verhält. Mit der Verringerung der Amplituden der Testsignale lässt sich das Verhalten des Systems bei niedrigen Geschwindigkeiten untersuchen. Darüber hinaus können Reibung und Last vom Anwender einbezogen und das Systemverhalten unter diesen Bedingungen untersucht werden. Voraussetzung für dieses »Auto Tuning«-Verfahren ist ein stets ausbalanciertes mechanisches System, das sich in Ruhe befindet, wenn kein Strom fließt.

Damit das »Auto Tuner«-Programm auch in den verschiedensten Anwendungsszenarien – Geschwindigkeits-, Lage- und Zweikreisregelung – mit größtmöglicher Effizienz genutzt werden kann, muss der Anwender für einen sicheren Betrieb des Systems folgende Parameter vorgeben:

  • die maximale Geschwindigkeit,
  • den maximalen Spitzenstrom und Dauerstrom,
  • die Drehgeberauflösung in Impulsen pro Umdrehung,
  • den Bewegungsbereich, in dem sich die Welle des Motors dreht,
  • die erforderliche Steifigkeit des Systems und
  • eine Abschätzung des vorhandenen Sensorrauschens.

0013-bild4.jpg
Bild 4. Beim Test des Systems mit einer Sprungfunktion ist die Anstiegszeit dann umgekehrt proportional zur Bandbreite, wenn keine Sättigungseffekte beim Strom auftreten (unteres Oszillogramm).

Systemtest mit verschiedenen Sollwertvorgaben

Der Test des geregelten Systems erfolgt zunächst durch die Analyse der Sprungantwort des Geschwindigkeitsreglers und, falls erforderlich, durch die Analyse der Sprungantwort des Positionsreglers.

Das Verhalten des Reglers lässt sich mit der Auswahl unterschiedlicher Amplituden des rechteckförmigen Referenzsignals genauer untersuchen. Bei der Untersuchung der Eigenschaften des Reglers mit kleinen Referenzsignalen gerät der Motorstrom nicht in die Sättigung; so lässt sich eine genauere Aussage zur Bandbreite des Reglers treffen. Bild 4 zeigt als Beispiel die Diagramme für einen Test außerhalb der Sättigung, die Bandbreite ist hier umgekehrt proportional zur Anstiegszeit (0,0114 s).

Beim Test mit großen Referenzsignalen ist darauf zu achten, dass der resultierende Stromwert zu keinem Zeitpunkt den maximal erlaubten Wert erreicht und somit begrenzt wird. Gerät der Motorstrom trotz entsprechender Begrenzung für längere Zeit in Sättigung (Bild 5), dann vergrößert sich die Anstiegszeit im Vergleich zum System außerhalb der Sättigung. In einem solchen Fall verhält sich die Bandbreite umgekehrt proportional zur Abklingzeit, nachdem der Bereich der Sättigung wieder verlassen wurde.

0013-bild5.jpg
Bild 5. Der Motorstrom gerät hier während der Sprungvorgabe der Geschwindigkeit in die Sättigung, die Anstiegszeit des Systems ist daher wesentlich größer als bei einem linearen, nicht in die Sättigung gefahrenen System.

Bewertung eines Entwurfs

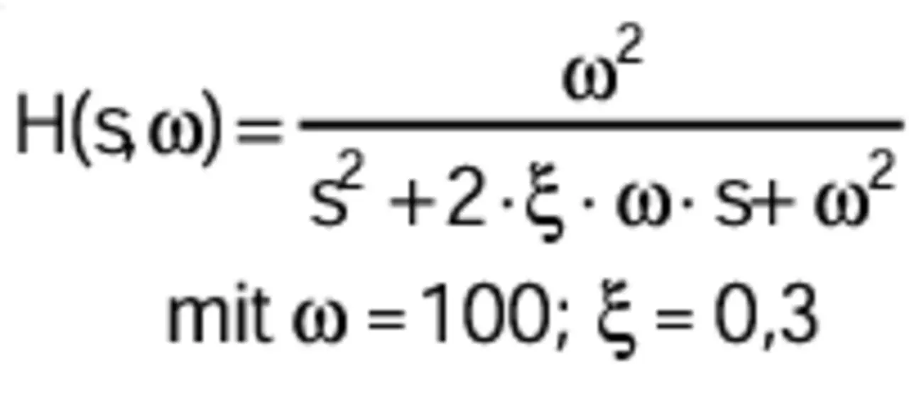
Die Güte eines Reglers kann durch die Einschwingzeit und den Frequenzgang abgeschätzt werden. Das Einschwingverhalten wird mit Hilfe der Sprungantwort, der Frequenzgang über die Bandbreite und die Phasengrenzen des Systems beurteilt. Die Sprungantwort beschreibt das Verhalten des geregelten Systems als Antwort auf eine plötzliche Veränderung des Sollwertes. Das ist zwar keine realistische Situation, denn kein physikalisches System kann abrupten Sprüngen in der Sollwertvorgabe exakt folgen – und die meisten Servoanwendungen arbeiten auch mit kontinuierlichen Veränderungen des Sollwerts. Aber die Sprungantwort verrät viel über das dynamische Verhalten eines Systems. Für ein geregeltes System mit einer Übertragungsfunktion des geschlossenen Regelkreises gilt:

0013-formel.gif

Die Systemantwort auf den Einheitssprung – das ist die Antwort auf den abrupten Wechsel des Eingangswertes von »0« auf »1« – ist in Bild 6 dargestellt. Die wichtigsten Kenngrößen, die sich dort unmittelbar entnehmen lassen, sind:

  • Anstiegszeit: die Zeit, die das System benötigt, um 90 Prozent des Sollwertes zu erreichen.
  • Überschwingweite: die maximale Abweichung der Systemantwort über den Sollwert hinaus.
  • Abklingzeit: die Zeit, die das System bis zur endgültigen Stabilisierung benötigt, üblicherweise dann, wenn die Abweichung dauerhaft weniger als 2 Prozent des Sollwertes beträgt.

Bei der Bewertung der Sprungantwort sollten die folgenden Punkte beachtet werden:

0013-bild6.gif
Bild 6. Die Bewertungskriterien für die Güte einer Regelung leiten sich aus der Sprungantwort ab: Anstiegszeit, Überschwingverhalten und Abklingzeit.

Überschwingen
Obwohl ein Überschwingen für bestimmte Anwendungen bedenklich erscheint, kann in lagegeregelten Systemen ein Überschwingen nicht vollständig vermieden werden. Die Minimierung des Überschwingverhaltens bei der Sprungantwort kann die Fähigkeit des Systems, einer vorgegebenen Trajektorie zu folgen, ernsthaft beeinträchtigen. Die meisten lagegeregelten Systeme zeigen deshalb ein signifikantes Überschwingen in der Sprungantwort. In der Anwendung selbst wird das Überschwingen durch eine Glättung der Bewegungsaufgabe vermieden. Bild 7 zeigt eine profilierte Bewegung, bei der das daraus resultierende Überschwingen erheblich geringer ist als bei der Sprungantwort. Das Überschwingen lässt sich durch eine weitere Glättung des Sollwertsignals fast vollständig eliminieren.

0013-bild7.jpg
Bild 7. In einem realen System werden Geschwindigkeits- und Beschleunigungssollwerte durch einen Profiler geglättet; das führt dann auch zu einer deutlichen Reduzierung des Überschwingens.

Klein- und Großsignalverhalten
Es ist nicht immer leicht, eine »saubere« Sprungantwort zu erhalten, die eine Aussage über das System zulässt. Bei kleinen Signalen kann das Systemverhalten z.B. durch mechanische Reibung, Quantisierungsrauschen des Sensors oder durch andere nichtlineare Phänomene stark gestört sein (Bild 8). Bei Regelungssystemen mit hoher Verstärkung läuft der Leistungsverstärker schon bei kleinen Signalen in die Sättigung. Große Sprungantworten sind weniger von Reibungsphänomenen beeinflusst, können aber durch die Strombegrenzung des Verstärkers stark verzerrt werden.

Bestimmung des Frequenzgangs im Nichols-Diagramm
Zum Bewerten des Frequenzgangs werden Bandbreite, Amplituden- und Phasenrand sowie Durchtrittsfrequenz herangezogen. Die Bandbreite bestimmt den Bereich der niedrigsten und der höchsten Frequenz, innerhalb dessen das System einem sinusförmigen Eingangssignal folgen kann. Mit dem Amplituden- und Phasenrand wird angegeben, wie weit die Verstärkung des offenen Regelkreises von dem kritischen Punkt entfernt ist, der mit Verstärkung »1« bei Phasendrehung 180? erreicht wird. Der Amplituden- und Phasenrand zeigt darüber hinaus, wie tolerant sich das System gegenüber Lasten oder anderen Veränderungen verhält, bevor die Stabilität verloren geht. Die Durchtrittsfrequenz zeigt an, wie empfindlich das System auf das hochfrequente Rauschen des Sensors reagiert, das fast immer vorhanden ist.

0013-bild8.jpg
Bild 8. Aus der Antwort eines Systems auf eine kleine Sprungvorgabe lassen sich die Systemparameter nicht immer sauber ablesen; hier machen z.B. kleine Regelschwingungen die Bestimmung der Abklingzeit unmöglich.

Amplituden- und Phasenrand werden am besten in einem Nichols-Diagramm für den offenen Regelkreises dargestellt. Bild 9 zeigt ein Beispiel mit einer Übertragungsfunktion des offenen Regelkreises, bestehend aus

  • einem Motor mit der Übertragungsfunktion k/s2,
  • einem Regler mit der Übertragungsfunktion (s + a)/(s + b) und
  • einem rauschfreien statischen Sensor mit der Übertragungsfunktion »1« (Einheitsrückführung).

Für die Bewertung des Frequenzgangs sollten die folgenden Punkte beachtet werden:

  • Die Bandbreite ωB ist mit der Anstiegs- und Abklingzeit näherungsweise wie folgt verknüpft: Anstiegszeit = 0,4 /ωB und Abklingzeit = 1,2 / ωB, wobei ωB in Hz eingesetzt wird. Diese Be-ziehungen sind allerdings »Daumenwerte«, die abhängig vom Phasenrand und der Durchtrittsfrequenz vom wirklichen Wert abweichen können.
  • Es gibt eine enge Verknüpfung zwischen Amplituden- und Phasenrand und dem Überschwingverhalten. Ein kleiner Amplituden- und Phasenrand führt zu einem großen Überschwingen.
  • Der erforderliche Amplitudenrand hängt von der Anwendung ab. Große Laständerungen oder resonanznahe Frequenzen erfordern auch einen größeren Amplitudenrand.
  • Die angegebene Bandbreite ist wesentlich höher als die höchste Frequenz eines sinusförmigen Signals, dem das System noch folgen kann. Einem Referenzsignal mit der Frequenz der Bandbreite folgt das System mit der halben Amplitude und einer Phasenverschiebung von 90°.
  • Die Durchtrittsfrequenz und der Phasengang lassen sich wie folgt näherungsweise in Beziehung setzen: Pro 20-dB-Dekade der Durchtrittsfrequenz verschiebt sich der Phasengang um –90°. Eine hohe Durchtrittsfrequenz erfordert einen sehr negativen Phasengang, was eine Reduzierten des Phasenrands zur Folge hat.

0013-bild9.gif
Bild 9. Das Nichols-Diagramm stellt in einem halblogarithmischen Amplituden-Phasen-Diagramm die Kurven für konstante Amplituden- und Phasenwinkel des geschlossenen Regelkreises dar. Eingezeichnet wurde der Verlauf des Frequenz- und Phasengangs des of

  1. Automatischer Abgleich von Antriebsregelkreisen
  2. Mit drei Schritten zum stabilen Servoantrieb

Jetzt kostenfreie Newsletter bestellen!