Antennen im ISM-Band automatisch abgleichen

Schnell auf Sendung

27. September 2006, 14:03 Uhr | Stefan Staudt

Das Abgleichen von Antennen war bisher oft ein aufwändiges »Trial and Error«-Verfahren. Ein neuer Chipsatz für das ISM-Band stellt Antennen jedoch automatisch auf den maximalen Ausgangspegel ein und macht so externe Matching-Elemente sowie das kostspielige Optimieren von Antennen überflüssig.

Diesen Artikel anhören

Antennen im ISM-Band automatisch abgleichen

Das Abgleichen von Antennen war bisher oft ein aufwändiges »Trial and Error«-Verfahren. Ein neuer Chipsatz für das ISM-Band stellt Antennen jedoch automatisch auf den maximalen Ausgangspegel ein und macht so externe Matching-Elemente sowie das kostspielige Optimieren von Antennen überflüssig.

passend zum Thema

Anwendungen für industrielle Umgebungen und in der Gebäudeautomatisierung nutzen immer öfter Übertragungssysteme im ISM-Band (Industrial, Scientific and Medical). In der Vergangenheit waren Systeme dieser Art für Funkfernbedienungen, wie auch für andere drahtlose Datenübertragungssysteme, meist diskret aufgebaut. Diese Anwendungen basierten auf einem ASK-System (Amplitude Shift Keying), welches im Vergleich zu den damals oft aufwändiger zu integrierenden FSK-Systemen (Frequency Shift Keying) bevorzugt wurde. Rauscheinflüsse machen sich jedoch bei ASK-modulierten Signalen stärker bemerkbar als bei FSK-modulierten Systemen. Bei gleicher Bitfehlerwahrscheinlichkeit benötigt ein ASK-moduliertes System einen um etwa 3 dB größeren Signal/Rauschabstand als ein vergleichbares FSK-System [6]. Des Weiteren besteht bei den FSK-Systemen die Möglichkeit, bei einem blockierten oder gestörten Übertragungskanal durch so genanntes »Frequency Hopping« auf eine andere Frequenz auszuweichen, und somit die Verbindung aufrecht zu erhalten. Dieses Prinzip wird unter anderem auch bei Bluetooth-Systemen im 2,4-GHz-Band verwendet.

tabelle1_b3bb5e.jpg
Tabelle 1: Übersicht über die unterschiedlichen ISM-Frequenzbänder [4]

Beim ISM-Band handelt es sich um einen lizenzfreien Frequenzbereich für Hochfrequenz-Sendegeräte in Industrie, Wissenschaft und Medizin, der nicht der staatlichen Regulierung unterliegt. Die gängigen ISM-Frequenzen und die jeweils erlaubten Sendeleistungen gehen aus Tabelle 1 hervor.

Das Applikationsspektrum solcher »Short Range Devices « reicht vom Autoschlüssel oder der Fernsteuerung für Kinderspielzeug bis hin zur Übertragung von Pegelständen von Wasserhochbehältern und anderen Fernsteuer-, Fernmess- und Fernbediensignalen. Die Nutzung der unterschiedlichen Frequenzbänder hat Auswirkungen auf die Reichweite der unterschiedlichen Funksysteme. Die Reichweite bei den so genannten Short-Range-Devices ist jedoch oftmals ein zentrales Thema vor allem im Bereich der so genannten RKE-Systeme (Remote Keyless Entry). Bild 1 veranschaulicht für die unterschiedlichen Frequenzbänder bei 434 MHz, 868 MHz und 2,4 GHz unter Verwendung von Gleichung 1 die Pfadverluste (»Line of Sight« unter idealen Freiraumbedingungen), abhängig von der Entfernung und der Frequenz zwischen Sender und Empfänger.

Bild_01__20.jpg
Bild 1 Auswirkungen des Pfadverlustes unter idealen Freiraumbedingungen
formel1_10.jpg

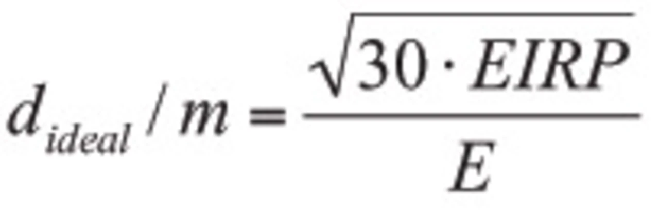
Bei einem 2,4-GHz-System zeigt sich hier, dass bei angenommenen gleichen Systemparametern in einem 868-MHz-System die theoretisch zu erzielenden Reichweiten unter idealen Bedingungen (Freiraumausbreitung) um Faktor 2,7 höher sind. Der mögliche Abstand dideal zwischen Sender- und Empfangsantenne kann hierbei unter Verwendung von Gleichung 2 (idealisierte Freiraumbedingungen) für bekannte Werte der Leistung EIRP in Watt auf der Senderseite und der Feldstärke E in V/m auf der Empfangsseite ebenfalls berechnet werden.

formel2_10.jpg

Im Falle von realen Ausbreitungsbedingungen (städtischer Bereich, in Gebäuden usw.) ist der reale Abstand dnreal bedeutend anders, als der unter Freiraumbedingungen. Wie unter [5] zu finden ist, lässt sich der durchschnittliche Pfadverlust für einen beliebigen dnreal in Abhängigkeit des Pfadverlustexponenten n gemäß Gleichung 3 bestimmen. Die Referenz d0 darf dabei jedoch nicht zu weit von der Sendeantenne entfernt sein, muss aber schon im Fernfeld der Sendeantenne liegen. Damit diese notwendige Bedingung für die Gültigkeit dieser Formel erfüllt ist, muss der Abstand d0 im Bereich von mindestens 2 m bis 3 m sein.

formel3.jpg

  1. Schnell auf Sendung
  2. Schnell auf Sendung
  3. Abgleich in 6,4 µs

Jetzt kostenfreie Newsletter bestellen!